1 Introduction
This article studies variation between on and off as the prepositional complement of a select set of English verbs. One verb in which the variation has been well documented is base; (1) gives examples of the variants.Footnote 1

The Oxford English Dictionary (2023, s.v. base) gives only examples with on (or upon) complements, dating back to 1776. But the variation demonstrated in (1) has received some attention in the linguistic literature, much of it observing rapid change in progress. Janda (Reference Janda, Janda, Joseph and Vance2021) finds examples of forms like based off (of) from as early as 1980, but dates his first encounter with the off variant to c. 2000, and suggests rapid change thereafter:
[W]ithin a few years, the strength and breadth of this construction (in the sense of characterizing almost everyone below a certain age) had become evident. (2021: 596)
This is confirmed by Curzan (Reference Curzan2013), who finds that based off of is rare in the Corpus of Contemporary American English (Davies Reference Davies2008–) but growing: in Google Books Ngram corpus data from 2000 (Michel et al. Reference Michel, Shen, Aiden, Veres, Gray, Pickett, Hoiberg, Clancy, Norvig, Orwant, Pinker, Nowak and Aiden2011), based on outnumbers based off of by 100,000:1, but by 2008, this has fallen to 10,000:1. Janda (Reference Janda, Janda, Joseph and Vance2021: 597) finds that Google hits containing based on outnumber those containing based off (of) at a ratio of only 163:1, and the raw numbers of based off (of) hits are high, exceeding 50 million. Finally, Behrens (Reference Behrens2014) provides a more qualitative assessment of the growing popularity of based off of (as opposed to based on):
As of this writing, I hear it and see it written all the time from my students and from my younger colleagues; my older colleagues dismiss the structure as just plain wrong. (2014: 67)
Anecdotally, we note that the off variant is used in pop-up text in Google Sheets as of July 2024 (figure 1).

Figure 1. Based off in pop-up text in Google Sheets
Janda (Reference Janda, Janda, Joseph and Vance2021: 597) observes that this variation between on and off can be found with other verbs, namely derive, ground, justify, predicate, draw, go and live. Examples of this variation in still other verbs are provided in (2)–(7).Footnote 2

Examples (1)–(7) demonstrate that the variation occurs in a variety of tenses and aspects, with and without intervening object pronouns and adverbs.
Our contributions in this article are as follows. First, we present novel quantitative evidence for variation and change in the prepositional complements of the verbs given in (1)–(7). We provide real-time evidence for increased used of off (of) in informal written language, drawing on data from the online discussion forum Reddit, and in the Corpus of Contemporary American English (Davies, Reference Davies2008–). This builds on Janda’s and Curzan’s corpus studies by presenting data on verbs beyond base, and by including off with and without the following of. Second, we present a proof of concept for a methodology that uses the structure of Reddit to infer the ages of authors, thus also providing apparent-time evidence for increased use of off (of). Although the Reddit corpus has been used for sociolinguistic research before (e.g. Flesch Reference Flesch2019; CH-Wang & Jurgens Reference CH-Wang, Jurgens, Moens, Huang, Specia and Yih2021; Brook & Blamire Reference Brook and Blamire2023), its potential for inferring demographics is underutilized. Thus, our study confirms that Reddit, whose enormous size makes it a valuable potential source of sociolinguistic data, can be used (with caution) to study demographic factors like age (and, likely, geography) despite lacking overt demographic metadata for most of its users.
2 Variation and change in prepositions elsewhere in English
Variation and change in prepositions has been attested elsewhere in English. The based on/off variable is reminiscent of variation in the complement of different, for which from, than and to are all attested, with geographical and social conditioning of their use (Iyeiri, Yaguchi & Okabe Reference Iyeiri, Yaguchi and Okabe2004; Mair Reference Mair2007). Behrens & Mercer (Reference Behrens and Mercer2007), Behrens (Reference Behrens2014) and Schlüter (Reference Schlüter, Callies and Hehner2022) give additional examples of preposition variation in fixed expressions in English, some of which can be observed in the writing of contemporary native American English speakers – such as have concerns on (standardly about) and look forward for (standardly to) – and others of which show regional variation – such as chat with, which skews North American, versus chat to, which skews British. We know of only one instance of prepositional variation which may be showing the kind of rapid change observed for base, and it is very lexically restricted: the emergence of on accident as a competitor to by accident, which is rapidly increasing in apparent time (Barratt Reference Barratt2006).
The off variant is implicated in another case of prepositional variation: the variable presence of of after off. This variation is fairly widespread in English, appearing not just with off (e.g. get off (of) the bus, the islands off (of) the coast), but also with other prepositions and words that may take of-headed complements: out (of) the window, all (of) the children, not that big (of) a deal (Estling Reference Estling1999, Reference Estling, Mair and Hundt2000; Nylund & Seals Reference Nylund and Seals2010; Vartiainen & Höglund Reference Vartiainen and Höglund2020). This variation between of and
$ \varnothing $
shows social and geographical conditioning, though the specifics depend on the particular construction: for instance, after off, the use of of is deemed non-standard and prescribed against in formal writing (Vartiainen & Höglund Reference Vartiainen and Höglund2020), while after out, of is favored in formal written language (Estling Reference Estling1999). We do not speculate on the social correlates or diachronic trajectory of the of variant in the based off construction, instead grouping together off and off of variants.
In fact, there are even more combinations of prepositions possible in the construction under study. Both on and off appear sporadically in our corpus preceding from:

As far as we are aware, this combination of prepositions has not been previously remarked upon, and it is quite rare – we group the 34 such sentences in our data under the broader umbrellas of on and off.
3 Methods
3.1 The variable and the data sources
We examine variation and change in the prepositional complements of seven verbs (base, build, capitalize, feed, profit, survive and thrive) in two corpora. These verbs were selected through manual inspection of tokens of verbs appearing with both on and off in a small sample corpus of posts from the social media website Reddit (Chang et al. Reference Chang, Chiam, Fu, Andrew Wang, Danescu-Niculescu-Mizil, Pietquin, Muresan, Chen, Kennington, Vandyke, Dethlefs, Inoue, Ekstedt and Ultes2020; Baumgartner Reference Baumgartner2019), described in more detail below. Verbs were selected primarily for practical purposes – for example, verbs that yielded too many irrelevant tokens (such as live, whose combination with off and on often expresses a location, like Many students live on Fifth Street) were not included. This list of verbs is intended to be representative, not exhaustive: our goal is to show that the shift is occurring in at least this handful of verbs.
Of these seven verbs, none is attested in the Oxford English Dictionary (OED) with an off complement, but five are attested with on complements, confirming that they traditionally take on in the standard language: base, build, capitalize, feed and thrive. Of the remaining two, survive is not shown combining with any prepositions in the OED, but is attested with on in Google Ngrams (Michel et al. Reference Michel, Shen, Aiden, Veres, Gray, Pickett, Hoiberg, Clancy, Norvig, Orwant, Pinker, Nowak and Aiden2011) and our data. Profit is perhaps the outlier among our verbs: the OED lists it as combining with other prepositions, by, of and from, whose usage rates exceed those of on in Google Ngrams at most time points. However, profit on is attested fairly robustly in Google Ngrams from 1800, and appears in our data, as in (5). Accordingly, we include it in our data (and return to its special status in section 5).
Because our studied variable is infrequent (other than with base), we prioritized large datasets. Our data comes from two sources, chosen for their size, their ease of use and their ability to provide real- and apparent-time data. The first is a corpus of posts from Reddit (Chang et al. Reference Chang, Chiam, Fu, Andrew Wang, Danescu-Niculescu-Mizil, Pietquin, Muresan, Chen, Kennington, Vandyke, Dethlefs, Inoue, Ekstedt and Ultes2020; Baumgartner Reference Baumgartner2019), a news and discussion website divided into topic-specific ‘subreddits’, such as ‘r/linguistics’, a forum for discussion of topics and questions related to linguistics, and ‘r/Legomarket’, a forum where users coordinate buying, selling and swapping LEGO products. Within a subreddit, discussions are grouped into threads: for instance, r/linguistics contains discussion threads devoted to specific academic articles and weekly Q&A threads where users are encouraged to ask and answer linguistics-related questions. Our Reddit data ranges from 2009 to 2018, though data before 2012 is sparse. The Reddit corpus contains over 7 billion utterances – that is, post submissions and comments (Baumgartner et al. Reference Baumgartner, Zannettou, Keegan, Squire and Blackburn2020).
For this study, we selected posts from subreddits comprising three rough ‘age cohorts’: college, pregnancy and young parent. Our college cohort dataset includes posts from the r/college subreddit and subreddits from individual colleges (Ding Reference Ding2018). The other cohorts comprise posts from r/BabyBumps (a pregnancy-related forum) and r/Parenting, respectively. These age cohorts are intended to show the presence of change in apparent time: we presume that participants in college-related forums tend to be younger than those in pregnancy forums, who in turn tend to be somewhat younger than participants in parenting discussions. These subreddits included 19.4 million utterances (of which 13 million were on college subreddits) with a total of 993 million words (547 million from college subreddits).Footnote 3
Our second source of data is the Corpus of Contemporary American English (COCA, Davies, Reference Davies2008–), which includes approximately one billion words from 1990–2019 in eight genres across formal written language (academic texts, newspapers, magazines, fiction), online written language (websites, blogs), television and movie subtitles, and spoken language (unscripted conversations from television and radio programs).
Our COCA data uses the magazines, newspapers and spoken language genres; each includes approximately 125 million words. Two web-based genres (web and blog posts) were excluded because all of their texts are coded as being from 2012, and thus cannot be used to show shifts in time. The other genres were excluded after preliminary searches showed very little use of the off variant.
Of our two data sources, Reddit plays the primary role. It has important advantages: it is very large and is written in more informal language, meaning that it contains many tokens of our verb–preposition constructions (three times as many as COCA; see section 3.2 for precise counts). The division into subreddits also allows us to sample from (presumed) different demographics (see also CH-Wang & Jurgens Reference CH-Wang, Jurgens, Moens, Huang, Specia and Yih2021).
Reddit also has downsides as a source of sociolinguistic data. Its text is not lemmatized, so we cannot restrict our searches to verbal forms only, increasing the false positive rate (although we took measures to mitigate this; see section 3.2). The geographical distribution of the Reddit data is also difficult to determine: Reddit draws users from around the world, and the college subreddits include colleges from outside the US (Ding Reference Ding2018). In addition, the Reddit data falls within a narrow window of time, primarily 2012–18.
These limitations of Reddit lead us to caution in using it to study variation in American English. Accordingly, we conduct a parallel study in COCA. Although COCA also does not contain sociodemographic information, its texts are all American English and its data is generally high-quality. COCA also has part-of-speech tagging, which in theory allows us to target verbal forms (however, the tagger sometimes misclassifies nouns like building as verbs; see section 3.2). In addition, the greater time scale of COCA (stretching back to 1990) allows us to observe variation in the use of off for longer, and before use of based off (of) began to become salient – around 2000, according to Janda (Reference Janda, Janda, Joseph and Vance2021) and Curzan (Reference Curzan2013).
At the same time, COCA has disadvantages compared to Reddit. Much of its text, even in the genres chosen, is more formal and edited. While we do look for genre differences in COCA, there is no expected demographic difference (and thus, no apparent-time interpretation) between the genres.
Thus, our main, more interesting findings are in the Reddit data. The COCA data is interpreted primarily as a sanity check on the Reddit results: since the two datasets produce qualitatively similar results, we conclude that the Reddit data provides a broadly accurate representation of contemporary North American English usage.
3.2 Data extraction
We searched for various constructions including one of our seven verbs followed by the preposition on or off. These two components could be adjacent or separated by a nominal phraseFootnote 4 and/or one or more adverbs. In order to distinguish verbal constructions (e.g. was based on it, will profit off it) from non-verbal constructions (e.g. a class based on it, make a profit off it), we also tracked instances in which the verb was preceded by an auxiliary like forms of be, again with possible adverbs intervening. This allowed us to control for part of speech when modeling (see section 3.3).
Some of the verbs being studied (build, feed and survive) are optionally transitive; that is, they can take an overt object in addition to the prepositional object (e.g. The university has built its reputation on being nontraditional); however, they most reliably show the desired variation when intransitive. The verb build shows on/off variation only in its metaphorical meaning, which the OED defines as ‘to establish, develop, or construct (something abstract, such as a system of thought or belief, a reputation, a relationship, etc.)’ (e.g. The new law is built on solid legal principles). However, transitive or passive uses of build on/off more often involve physical construction, meaning that false-positive sentences like The first buildings were built on campus in 1812 are very common, especially on the college subreddits. In contrast, intransitive build on/off, as exemplified by (2) above, is exclusively metaphorical. Similarly, intransitive feed shows variation in preposition whether metaphorical (as in (4) above) or literal (e.g. Some birds feed off insects), while transitive feed includes many more irrelevant examples showing no variation: feeding my baby on the couch, off my plate and so on. Likewise, survive can take an object in the meaning desired (e.g. I survived my pregnancy on plain pasta), but such cases have higher rates of false positives because the prepositional phrase can be part of the object (like The king survived the attempt on his life). To limit ourselves to a consistent construction that yields the most reliable data, we exclude tokens with an intervening object (indicative of a transitive verb) for all verbs except base (which is only ever used transitively).
Data from Reddit was retrieved from the Pushshift.io Reddit corpus (Baumgartner Reference Baumgartner2019) through ConvoKit (Chang et al. Reference Chang, Chiam, Fu, Andrew Wang, Danescu-Niculescu-Mizil, Pietquin, Muresan, Chen, Kennington, Vandyke, Dethlefs, Inoue, Ekstedt and Ultes2020). We used a Python script to search for the sequences described in the previous paragraph. The Reddit corpus is not lemmatized, so we conducted a string-based search using lists of forms according to their parts of speech in CELEX (Baayen, Piepenbrock & Gulikers Reference Baayen, Piepenbrock and Gulikers1995). Thus, for example, hits for the verb survive included the words survive, survived, survives and surviving.
This type of search naturally yields false positives. To investigate how many, we looked at a sample of 100 sentences for a number of configurations based on verb form, presence of a direct object (for base) and presence of an auxiliary (if a given category had fewer than 100 sentences, we looked at all of them). This sample revealed several frequent undesired prepositional phrases, which we filtered out of our data: on/off campus (with up to three words intervening to account for phrases like on the main campus, extremely common in college subreddits), on X’s own (with one word between the preposition and own, most common with survive and thrive) and on demand / a schedule / a routine (commonly used to discuss feeding practices in the pregnancy and parenting subreddits).
Configurations that still yielded rates of false positives above 13 percent in the sample were removed as well. These included:
-
• bases not followed by an object (often nominal: the bases on the baseball field)
-
• building (often nominal: a building on campus)
-
• built (often passive: a community built on respect, housing built on the quad)
-
• most forms of feed without auxiliaries (often nominal: a feed on YouTube) or with passive auxiliaries (reliably passive: the students were fed on junk food)
-
• profit or profits (often nominal: make a profit off his image) unless preceded by an auxiliary (e.g. the school doesn’t profit off of certain classes)
While the remaining data does still have a small proportion of false positives, we do not think they substantially skew the results. In fact, the results are quite robust to the presence of false positives: earlier versions of the dataset, with fewer tokens removed, yielded very similar results.
In COCA, each word is tagged with its lemma and part of speech. Our COCA search included forms of our seven verbs tagged as verbs. While we expected that COCA would have fewer false positives, this turned out to not always be true, and we removed tokens with on X’s own and several configurations that had false positive rates above 15 percent. As with the Reddit corpus, some of these had nouns misclassified as verbs (building, profits). The tagger classifies fed as either a past participle or a past-tense form; the former were removed, as they were more often passive. The tagger was not so accurate with built, so all sentences with this form were removed, whether it was tagged as a participle or past tense. Sentences with survived, surviving and thriving were also removed due to false positives stemming from locational prepositional phrases (e.g. public education is thriving on the West Coast). Ironically, this seems to be an issue specific to COCA because its texts are more diverse than our Reddit data, where many of the locational prepositional phrases for survive and thrive involved mentions of campus and were thus easy to filter out.
Token counts by corpus and lemma are provided in table 1.
Table 1. Token counts by corpus and lemma

3.3 Statistical analysis
The data was analyzed using logistic regression in R (R Core Team 2023). For each corpus, we fitted three regressions involving different subsets of verbs and factors to account for the differences between base and other verbs: first of all, base dwarfs the other verbs in frequency, comprising 94 percent of tokens for Reddit and 86 percent for COCA. Second, as described in section 3.2, base is transitive (appearing either with an object or as a passive), while the others are intransitive in our dataset. This difference in syntactic construction makes it difficult to compare base with the other verbs.
Our dependent variable is preposition, coded as a binary between on (marked as 0) and off (marked as 1). The sequence off of is classified as off and is quite common: off of constitutes 46 percent of all off tokens in Reddit and 24 percent of off tokens in COCA.
The regressions were fitted using using R’s buildmer package (Voeten Reference Voeten2023) through forward stepwise comparison; factors were only included in the model if they significantly improved its fit and improved its Akaike Information Criterion (AIC), which penalizes model complexity (additional model factors). Factors that improved the model but were problematic due to sparse data were removed.
The first regression for each corpus looks only at base; the second looks at the remaining verbs, which are always intransitive in our data (as discussed in section 3.2, examples of these verbs followed by direct objects or in the passive were filtered out). The third regression compares the verbal passive construction be based (that is, based preceded by a passive auxiliary) to the other intransitive verbs. This filtering increases parallels between base and the other verbs by removing two configurations in which base regularly appears but the other verbs do not: transitive uses in which base is separated from its preposition by an overt object (like the professor based the textbook on his lectures) and adjectival passives that are not fully verbal in structure (like a textbook based on the professor’s lectures).
The models included the following key factors:
-
• Year (centered around the median year with substantial data, 2015 for Reddit and 2005 for COCA)
-
• Source/genre: college (baseline) vs. pregnancy vs. parenting for Reddit, magazine (baseline) vs. news vs. spoken for COCA
-
• Verb: not used in first regression (base only), sum-coded in second regression (all verbs other than base) and dummy-coded in third regression (all verbs, with base as baseline)
The most frequent source/genre was chosen as the baseline: about 70 percent of the Reddit tokens are from college subreddits, while COCA is more balanced, with only about 39 percent of its tokens from magazines and another 36 percent from newspapers. Two-way interaction terms between these three factors were considered as candidates for the models.
A number of morphosyntactic factors were also considered. These factors differed slightly according to the properties of the model, as follows. The regressions for base had a candidate factor comparing passives with intervening adverbs to passives with no interveners on the one hand and to actives with intervening objects and, optionally, adverbs on the other. As shown in table 2, the factors of voice and presence of an intervener are confounded, in that active sentences must have interveners;Footnote 5 accordingly, these two factors were combined into a single factor to avoid an unbalanced combination of factors in the models.
Table 2. Interaction of voice and presence of intervener for base

The other two regressions for each corpus, which included only verbs without direct objects, had a candidate factor marking the presence of an intervening adverb, again to test for an effect of verb–preposition adjacency.
The regression for verbs other than base also included a factor comparing uninflected verb forms (capitalize) to third-person singular (capitalizes), past/participle (capitalized) and progressive (capitalizing) forms; this factor was excluded from the regression with all verbs (base included) because the form of base tokens in this regression was uniformly based. Finally, all of the regressions had a candidate factor marking whether the object of the preposition was definite (that is, beginning with the).
We did not have any a priori hypotheses regarding the effect of these morphosyntactic factors, which we chose because they involve properties of the verb or the relationship between verb and preposition, or, in the case of definiteness of the prepositional object, because this has been shown to have an effect in previous instances of non-phonological variation (Bresnan et al. Reference Bresnan, Cueni, Nikitina, Baayen, Bouma, Krämer and Zwarts2007; Grafmiller & Szmrecsanyi Reference Grafmiller and Szmrecsanyi2018). Although we offer potential post hoc explanations of their effects, their primary purpose is to account for potential morphosyntactic confounds to the extrinsic and lexical factors that are the primary object of our study.
Output for all models can be found in the Appendix.
4 Results
We test the following hypotheses on the Reddit data:
-
1. A real-time shift toward off: the proportion of off is increasing year-by-year.
-
2. An apparent-time shift toward off: the proportion of off hits in the college-age cohort will be higher than that of the pregnancy-age cohort, which will in turn be higher than that of the parent-age cohort.
We find both of these hypotheses to be confirmed in the Reddit dataset, which we present first. Afterward, we replicate the real-time trend in the COCA dataset, as well as many of the comparisons between base and the other verbs. As described in section 3.1, the COCA dataset is smaller but has better tagging and metadata. Replication of the Reddit results in COCA strengthens our confidence that the Reddit data is giving us a real signal despite its shortcomings (e.g. dialectal heterogeneity).
4.1 Reddit
Figure 2 shows the rate of use of off (as opposed to on), aggregated across all seven verbs studied (base, build, capitalize, feed, profit, survive, thrive), over nine years of real time in the Reddit corpus. Though off is the minority variant, it shows a steady, linear rise from 7 to 10 percent over the decade. The effect of year is significant (
$ p\le .004 $
) in all three regressions (base alone, all other verbs, all verbs combined; see tables A1–A3 in the Appendix).

Figure 2. Rate of use of off in real time, aggregated over all seven verbs studied, Reddit data
Figure 3 adds an apparent-time perspective to figure 2 by plotting the college, pregnancy and parenting cohorts separately. We see a neat cohort effect: college posters have the highest rate of off, parenting posters have the lowest and pregnancy posters are in the middle. In all three Reddit regression models (tables A1–A3 in the Appendix), the differences between the cohorts are generally significant (
$ p\le .04 $
).Footnote 6 Figure 3 suggests that the difference between the college and pregnancy cohorts is equivalent to about five years of real time (about two percentage points, approximately half the rise shown by the aggregated data over the decade studied), and the difference between the pregnancy and parenting cohorts is similar, if somewhat larger.

Figure 3. Rate of use of off in real time, aggregated over all seven verbs studied, by subreddit type, Reddit data
The apparent-time effect can also be derived from the regression models. Table 3 shows the coefficients for year and subreddit type for the models based on the Reddit data in tables A1–A3 in the Appendix. The coefficient for year represents the estimated yearly change in use of off, while the coefficients for pregnancy and parenting compare those respective cohorts with the baseline, college (in the models, these coefficients are negative, since off is used less frequently in these subreddits than in college subreddits). Dividing the subreddit type coefficient by the year coefficient thus gives an estimate of the apparent-time effect of subreddit types. Indeed, the first two models yield plausible results, indicating that posters in pregnancy and parenting subreddits are 5–7 and 10–15 years older than posters in college subreddits, respectively. The estimated apparent-time effects of the model comparing passive based to the other verbs has a much larger estimated effect (15 and 33 years, respectively); however, this is due in large part to the substantially lower coefficient size for year, which in turn reflects the fact that much of the weight of year in this model is caught up in its interaction with verb. Indeed, removing this interaction term makes the estimated apparent-time effects smaller, though still larger than in the other two models (10 years for pregnancy and 23 for parenting).
Table 3. Absolute value of coefficients for year and subreddit type for Reddit models, with their quotients (interpretable as apparent-time differences)

Finally, figure 4 shows verb-by-verb data for verbs other than base. Since 94 percent of tokens are base, the real- and apparent-time patterns for this verb are largely captured by the aggregated patterns in figure 3, and including them in figure 4 would lead to an issue in depicting the differences in scale. At the baseline of 2015, the verb capitalize has a significantly lower rate of off than base (
$ \beta =-1.55 $
,
$ p<.001 $
), while all other verbs have significantly higher rates of off than base (
$ p<.001 $
), as shown in table A3 in the Appendix. For profit, in particular, the rate of off is very high – nearly at ceiling.

Figure 4. Rate of use of off in real time for verbs other than base, split by verb (ordered by frequency in the studied corpus) and by subreddit type, Reddit data
In addition, most of the verbs show a similar pattern of real- and apparent-time effects to base, though often with more noise: real-time increase, with college posters leading parenting and pregnancy posters. The one main exception is feed, where the aggregate real-time line in figure 4 trends downward. Indeed, in the model comparing base with other verbs (table A3 in the Appendix), feed is the only verb with a negative interaction with year (though it is not significant). The interaction term (
$ -.061 $
) is greater in absolute value than the main effect of year (
$ .029 $
), meaning that the model suggests that use of off is decreasing for feed year-by-year (not just increasing more slowly than base). This downward trend seems to be concentrated in a larger number of tokens of feed on than expected in the last couple of years in parenting and pregnancy forums. While we have no explanation for this distribution, we note that these forums include frequent discussion of babies’ feeding habits. Many of the false positives (including the common feed on demand; see section 3.2) have been successfully filtered out, but some remain. The relatively small number of tokens and issue with specialized vocabulary mean that this verb’s results should be taken with a grain of salt. There is one verb with a significant interaction term with year: the rate of off increased significantly more quickly for survive than base.
Figure 4 also shows that the differences between the subreddit types vary somewhat between the verbs; these are the significant interactions between verb and subreddit type in the models comparing base with the other verbs (table A3 in the Appendix) and the other verbs with each other (table A2 in the Appendix). In particular, build and thrive take off significantly less in parenting posts than in college posts, while capitalize, feed and survive take off significantly more in parenting than in college subreddits (for survive, the difference is only significant in the model comparing base to other verbs). Although these interactions are difficult to interpret, we can speculate on their sources. First, capitalize may be a floor effect: the verb is rare and almost always takes on, so a small number of tokens of capitalize off in parenting posts (6 out of 118) could lead to a higher rate than expected. As explained in the previous paragraph, feed has a somewhat anomalous distribution that may lead to unexpected effects. In figure 4, we see that build is disproportionately frequent in college posts, especially in later years when off is more frequent in general; the same verb has a steady rate from year to year in parenting posts. This temporal bias toward build off in college posts may be driving the significant interaction between build and parenting (which does not show up in pregnancy posts because the verb is too rare there). Finally, survive and thrive make a curious pair: although they are quite similar in meaning, their interaction terms go in opposite directions. The former may be related to the verb’s interaction with year described above: the use of off increases significantly more rapidly, and in figure 4, this steeper slope is concentrated in college posts specifically. On the other hand, thrive seems to have a similar low use of off in parenting forums, but here the verb is less frequent in college posts, and thus has a more sporadic distribution.
4.2 COCA
Figure 5 shows the rate of off (as opposed to on), with or without a following preposition, across all verbs in real time from 1990 to 2019 in COCA. Compared to Reddit, off is much less common in COCA: even in 2019, the rate of off only reaches about 3 percent, compared to 10 percent in Reddit. However, there is a clear trend upwards, as off appeared well below 1 percent of the time in 1990. The effect of year is significant (
$ p<.001 $
) in all three regressions (shown in tables A4–A6 in the Appendix).

Figure 5. Rate of use of off in real time, aggregated over all seven verbs studied, COCA data
Figure 6 splits the data according to text type: magazines, newspapers and spoken language. Here we do not see the same stark pattern as in Reddit: the three text types are intermingled and seem quite similar on visual inspection. The statistical models do detect significant differences. In the model limited to base (table A4 in the Appendix), off appears in spoken language more often than in magazines (
$ p<.001 $
), but there is no significant difference between magazines and newspapers; comparison of estimated marginal means finds a significant difference between spoken language and newspapers (
$ p<.001 $
). The difference is equivalent to 5.6 years of real time, given that the coefficient for spoken language is 5.6 times greater than the year coefficient; however, there is no reason to suspect that this corresponds to any apparent-time difference, especially because the difference is not consistent year-over-year as it is with subreddit types in the Reddit data. In the model including verbs other than base (table A5 in the Appendix), both newspapers and spoken language have higher use of off than magazines (
$ p<.001 $
for both); in fact, off appears more often in newspapers than in spoken language, though the difference is not significant. However, as we will see below, this effect seems to be located in specific verbs; this model does not include an interaction term between verb and text type because the categorical patterning of survive in spoken language (76 tokens, all with on) throws off the confidence intervals for all of the spoken-language interaction terms.

Figure 6. Rate of use of off in real time, aggregated over all seven verbs studied, by text type, COCA data
Finally, figure 7 shows verb-by-verb data for verbs other than base. We see that capitalize and survive very rarely, if ever, take off, while profit almost always takes off. Meanwhile, feed shows a stark genre difference in its use of off: magazines have a low rate of feed off, while newspapers and especially spoken language show much higher rates. From reading the graph, we would expect that the differences in text type should be concentrated in their interaction with verb, and this is what we see in the regression comparing passive be based to the other verbs (table A6 in the Appendix). According to this model, off is used more often in spoken language than in magazines, though not quite significantly so (
$ \beta =.75 $
,
$ p=.054 $
), while there is almost no difference between newspapers and magazines (
$ \beta =.02 $
,
$ p=.960 $
). However, looking at the interaction term, feed off appears significantly and substantially more often in newspapers than in magazines (
$ \beta =1.54 $
,
$ p=.001 $
). Inspection of the relevant cases reveals no obvious pattern explaining this effect. The verb profit has significant interactions as well: profit off appears significantly less often in newspapers (
$ \beta =-2.11 $
,
$ p=.023 $
) and spoken language (
$ \beta =-2.38 $
,
$ p=.008 $
) than in magazines, in which we find 42 tokens of profit off and only two of profit on. Finally, capitalize off is more common in spoken language than in magazines, though the effect does not reach significance (
$ \beta =2.06 $
,
$ p=.071 $
).

Figure 7. Rate of use of off in real time for verbs other than base, split by verb (ordered by frequency in the studied corpus) and by text type, COCA data
The verb-by-verb results in COCA are qualitatively similar to those of Reddit: feed has a somewhat higher rate of off than most of the verbs, suggesting that the high rate of off for feed is not due to idiosyncrasies of the data source. Likewise, profit appears almost entirely with off. Since COCA has a much lower rate of off in general, the very low rate of off for capitalize does not stand out from that of the other verbs; its difference from be based is not significant. The other verbs appear with off significantly more than be based (
$ p\le .04 $
).
4.3 Morphosyntactic factors
In the previous sections, we discussed extrinsic and lexical factors affecting the choice of preposition: real time, subreddit/genre and verb. Some of our regressions also showed significant morphosyntactic effects: verb form, presence of material intervening between verb and preposition, and whether the prepositional object is definite.
The regression with base on Reddit data (table A1 in the Appendix) showed that active uses of this verb are significantly more likely to take off than passive uses, and the difference is very large (
$ \beta =1.96 $
,
$ p<.001 $
; for comparison, the effect size of real time is
$ \beta =.05 $
per year). Other morphosyntactic effects did not substantially improve the model and were not added. The base model for COCA (table A4 in the Appendix) does not include this factor, because it is categorical in the COCA data: off never occurs even once in passive uses of base with an adverbial intervener, whereas in active uses and in passive uses without an intervener, off is merely very rare.
The Reddit regression with the intransitive verbs (that is, all except base, table A2 in the Appendix) shows an effect of verb form: off occurs significantly more often with progressive forms (e.g. surviving) than with uninflected forms (e.g. survive;
$ \beta =.56 $
,
$ p<.001 $
). Verb form does not improve the COCA model (table A5 in the Appendix) and is not added to it.
Another detectable syntactic effect in the regressions including verbs other than base is that off is used less often when an adverbial intervenes between verb and preposition (e.g. survives mostly on) than when verb and preposition are adjacent. This factor is significant in the Reddit model (in table A3 in the Appendix) comparing base to other verbs (
$ \beta =-.30 $
,
$ p<.001 $
), though it is not added to the Reddit model comparing the non-base verbs to one another (table A2 in the Appendix). It is significant in both of these models for the COCA data (tables A5 and A6 in the Appendix).
Finally, the two COCA models including verbs other than base have one more significant syntactic factor: off is used more often when its complement is definite (starts with the). This factor is not added to the Reddit models.
4.4 Summary
Our findings can be summarized as follows:
-
• The off variant is steadily increasing in real time, in both corpora. The effect is strongest for base, which is the most frequent verb, but is present for others too.
-
• The Reddit corpus shows an apparent-time increase of the off variant as well. While there is some difference in the rate of off between different text types in COCA, we do not see an analogous steady, consistent gap.
-
• Different verbs are at different points in the change toward off. In both corpora, profit and feed take higher rates of off than others, with profit almost categorically taking off.
-
• The use of off is also influenced by internal morphosyntactic factors. Most consistently, off is less common when the verb and preposition are separated by an adverb.
5 Discussion
The previous section confirmed that all seven verbs studied here take off complements. The general trend, with few exceptions, is that all verbs are changing toward use of off in both real and, where data is available, apparent time.
5.1 Main findings
There are two questions we want to address here. The first is: why is this change happening? The second is: why is it happening in these verbal constructions specifically? After all, off is not replacing on across the English language in general: not when on is used with its core physical meaning, nor when it is used in other metaphorical ways, such as airing on television or kept on file.
To answer the first question, we turn to a suggestion from Janda (Reference Janda, Janda, Joseph and Vance2021). In explaining the rise of based off (of), he proposes:
[I]f one derives something from a source, then a crucial pathway between them leads from the source to the derivative; something takes off from – or is taken off (of) – the source and travels – or is brought – to/as the derivative…. Yet basing or being based ON portrays the implied motion as oriented in [the opposite] direction, and thus sounds more like planting a flagstaff downward into the ground. (Reference Janda, Janda, Joseph and Vance2021: 597)
In other words, off suggests extraction, while on suggests foundation. Perhaps, then, the shift from on to off is a change from a metaphor of foundation to one of extraction. That, then, suggests an answer to the second question: the verbs undergoing this change are those that are compatible with this ‘extraction’ meaning.
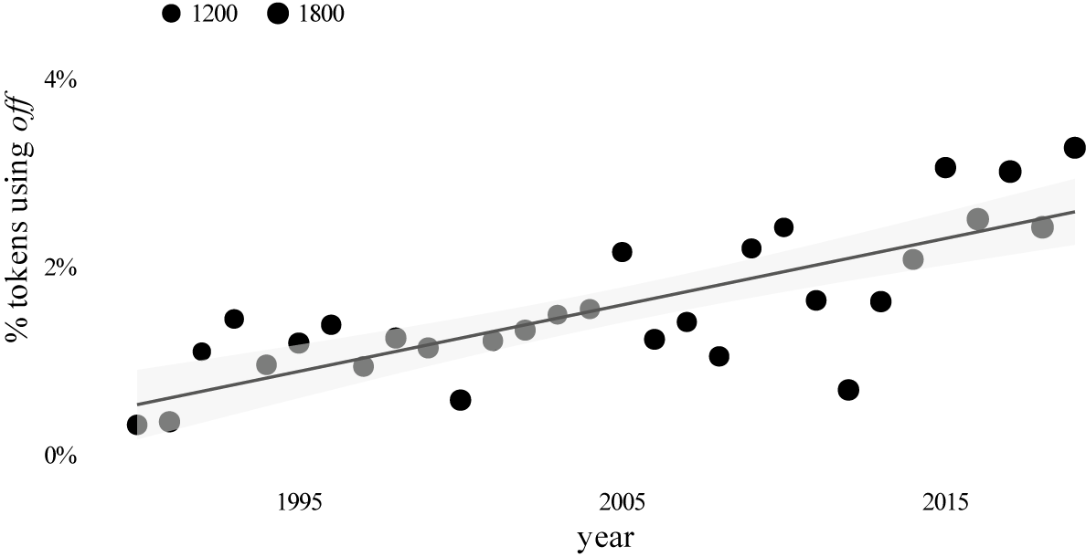
Somewhat speculatively, we observe that there may be a correlation between the strength of a verb’s association with these meanings of extraction and/or foundation and its likelihood of change. We found in both corpora that profit had the highest rates of off by far: even going back to the 1990s in the COCA data, profit off well exceeds 50 percent off usage (19/25 tokens in that decade). Data from the Google Books Ngram corpus from 2019, plotted in figure 8, likewise shows that profit off started gaining ground in the 1990s. This suggests that profit was an earlier shifter than the other verbs, not categorically different from them. Indeed, the lexical semantics of profit are particularly well suited for a metaphor of extraction.

Figure 8. Rates of on and off with forms of profit in Google Books Ngram data from 2019
By contrast, base shows lower rates of off than any other verb except capitalize, a pattern that holds in both corpora. Again, the lexical semantics of base is particularly compatible with a metaphor of foundation, perhaps leading it to have resisted shifting longer than the others. (On the other hand, the even lower rate of off with capitalize may be a reflection of its belonging to a higher register.)
We note also that base is by far the most frequent verb in both datasets. The resistance of highly frequent forms to change is well known from work on morphological changes such as analogical leveling (e.g. Hooper Reference Hooper and Christie1976). Still, despite its overall low rate of off, base is making up for lost time: in COCA, at least, it is changing toward off faster than all the other verbs in our study (though this difference is not significant for two verbs).
All told, the picture here suggests a change that has started in different verbs at different times, and is progressing for different verbs at different rates. This is reminiscent of lexical diffusion in phonology: a change starts in one environment (in this case, potentially profit) and then gradually expands to others (Wang Reference Wang1969).Footnote 7
The lexically specific nature of this change raises questions about whether any social evaluation associated with the change is similarly lexically specific. Behrens (Reference Behrens2014), as cited in section 1, notes that based off is salient enough that some speakers notice it and prescriptively judge it as incorrect; references to and expressions of negative evaluations of the shift can also be found on usage guides (e.g. Merriam-Webster n.d.) and blog posts and comments (e.g. Jerz Reference Jerz2014). It is likely that base has attracted overt comment due to its high frequency and its rapid rate of change. But given that the other six verbs studied here are also changing in the same direction, do they share the same social evaluation? The question of whether the social evaluation of a variant extends to all environments in which that variant surfaces, or whether social evaluation may interact with internal (linguistic) constraints on variation, is longstanding in sociolinguistics, going back at least to Weiner & Labov (Reference Weiner and Labov1983). This could be examined in follow-up work on this change.
5.2 Text sources and apparent time
Both the Reddit and the COCA corpora are divided up into three different text sources. In the former, examples were drawn from subreddits themed around college, pregnancy and parenting. We use this as a proxy for apparent time, under the assumption that posters on college subreddits are younger (and thus more advanced in the change) than posters on pregnancy subreddits, who are in turn younger than people posting about parenting. This assumption was borne out: qualitatively, figure 3 shows a fairly consistent difference between the three subreddit types that looks equivalent to the difference of a few years; this impression is largely confirmed quantitatively as well by the models, as shown in table 3.
The COCA corpus included texts from magazines, newspapers and spoken language. This difference, in contrast, is not expected to correspond to apparent time, since it reflects differences in the mode of production rather than the demographics of people producing the texts. Indeed, figure 6 presents a stark contrast to the Reddit data in figure 3: the rates of off among the different text types are quite intermingled and close together, and certainly do not show the lockstep pattern of the Reddit data. The COCA models generally show that off is more common in spoken language than in magazines – which is understandable, given that the latter are likely to go through more editing. However, the lack of a sharp cohort effect in COCA further reinforces the apparent-time interpretation of the Reddit data.
5.3 Morphosyntactic factors
The regressions showed evidence of a number of internal grammatical factors influencing the use of off – in particular, off is used less frequently when an adverb or adverbial phrase intervenes between the verb and the preposition (like survive almost entirely on). This effect is generally driven by verbs other than base, and seems to split into two: first, interveners are much less frequent, so low-frequency verbs like capitalize never appear with off and interveners. Second, verbs with higher rates of off, especially feed, have lower rates of off with interveners. There is no obvious explanation for this latter effect. If the shift in prepositions is lexically driven – that is, mediated by each individual lexical item – then intervening material between verb and preposition may make the ties between the two weaker and cause reversion to a default preposition – which, at least for now, is more likely to be on. A similar explanation may be given for the voice difference for base: in the Reddit data, off is more frequent in active forms like based it (mostly) off than in passive forms with interveners like was based mostly off. For base, the passive form is much more common than the active, and the latter may be treated by speakers as having different lexical properties including a higher rate of off, untethered as it is from the extremely frequent construction based on/off.
6 Conclusion
The purpose of this study was twofold. First, we aimed to capture an in-progress shift in the prepositional complement of verbs like base from on to off. While this change has been previously documented for both base and other verbs, this is the first study that systematically investigates the change in progress across multiple verbs, text types and morphosyntactic contexts. Our results are clear: off is used across many different verbs, and its use is increasing in both real and apparent time. Moreover, this change shows no sign of stopping and looks to be picking up other verbs in its path as well: examples of off can be found even with verbs like depend and rely, which the authors of this article, who generally accept the tokens in our corpora and are likely to produce off fairly regularly as well, find crashingly bad.Footnote 8 Thus, our study lays important groundwork for future study of this linguistic variable, including both sociolinguistic factors that we did not study systematically (region, gender, etc.) and a closer look at internal linguistic factors, including those we studied and those we did not. For example, one direction for future research is to investigate geographical patterning of this variation in a large dataset with geographical metadata, such as a Twitter-based corpus.
The second main purpose of our study was methodological. Reddit represents an enormous body of informal text that could serve as a valuable resource for socio- and other linguistic research. However, its users are anonymous and we typically have no demographic information about them (though see Flesch Reference Flesch2019). Thus, we use this study as a proof of concept for the efficacy of the Reddit corpus. Its results are qualitatively similar to those of a more cultivated corpus, COCA: even though some of the tokens in the Reddit corpus were undoubtedly made by non-native speakers, it is reliable enough to display broad trends. Moreover, the organization of Reddit into subreddits, which are often very specific, allows us to approximate its users’ demographic properties – in this case, age. This analytical move was successful: the effects of subreddit were interpretable in terms of time and yielded sensible results well within the range of our expectations from the inferred demographic correlates of subreddit. Thus, we hope that this study will serve as inspiration for future use and exploration of Reddit as a source of sociolinguistic data, both general and demographically specific.
Appendix
In tables A2 and A5, the factor representing the six verbs is sum-coded: the five factors compare each of the first five verbs to the grand mean (the mean of the means of the dependent variable – in this case, likelihood of off – for each verb). The estimate for the sixth verb, profit, is the negative sum of all five factors. Thus, in the tables below, we provide an estimate for profit (the negative sum of the five factors) but not a standard error or
$ p $
value, since it is not represented by a separate factor in the model. Each of the five factors, in turn, includes some influence of profit in addition to the listed verb. Thus, the estimates for sum-coded factors are rather easier to interpret than their corresponding standard error and
$ p $
values.
Terms are listed in the order in which they are added to the model, roughly corresponding with importance. Low
$ p $
values are marked as follows: *** for
$ p<.001 $
, ** for
$ .001\le p<.01 $
, * for
$ .01\le p<.05 $
, for
$ .05\le p<.1 $
.
Table A1. Coefficients for model with all tokens of base, Reddit data

Table A2. Coefficients for model with intransitive tokens of verbs other than base, Reddit data

Table A3. Coefficients for model with passive tokens of base and intransitive tokens of other verbs, Reddit data

Table A4. Coefficients for model with all tokens of base, COCA data

Table A5. Coefficients for model with intransitive tokens of verbs other than base, COCA data

Table A6. Coefficients for model with passive tokens of base and intransitive tokens of other verbs, COCA data














