Holstein cows are high producers and contribute substantially to global milk production. Enhanced reproductive performance is required for higher production efficiency from Holstein herds. Reproductive biotechnologies such as embryo production have been intensively utilized for genetic gain in the dairy industry (Baruselli et al., Reference Baruselli, Carvalho, Elliff, Silva, Chello and Carvalho2020). Follicle stimulating hormone (FSH) is commonly used in embryo production to harvest more oocytes or embryos (Sarwar et al., Reference Sarwar, Sagheer, Sosa, Saad, Hassan, Husnain and Arshad2020).
There are concerns regarding the impact of FSH superstimulation on animal behaviour and production. Superstimulation with FSH would increase dominant follicles by promoting follicular growth and preventing atresia (García Guerra et al., Reference García Guerra, Tribulo, Yapura, Adams, Singh and Mapletoft2015). A previous study has shown that cows with more dominant follicles had greater estradiol concentration than cows with a single dominant follicle (Lopez et al., Reference Lopez, Sartori and Wiltbank2005). Cows superstimulated with FSH likely have greater estradiol concentrations because of the higher number of large follicles. Increased estradiol concentration during estrous has been reported to decrease feeding time (Zebari et al., Reference Zebari, Rutter and Bleach2018) and increase activity (Kumro et al., Reference Kumro, Smith, Yallop, Ciernia, Caldeira, Moraes, Poock and Lucy2021). It has also been reported that exogenous administration of estradiol decreased milk yield in dairy cows (Tong et al., Reference Tong, Thompson, Zhao and Lacasse2018). However, FSH superstimulation protocols involve the insertion of a controlled internal drug-releasing device (CIDR™; 1.38 g progesterone Pfizer Co. USA). This exogenous progesterone can attenuate impact of the increased estradiol concentration produced during FSH superstimulation on body temperature (Wade, Reference Wade1975). However, very little is known about the impacts of superstimulation with FSH on behaviour and performance.
We hypothesized that FSH superstimulation has little or no effect on animal behaviour and milk yield. Therefore, the objectives of the experiment were to investigate the effect of FSHsuperstimulation on follicular dynamics, animal behaviour, body surface temperature, and milk yield in Holstein cows.
Materials and methods
Ethical approval
The experiment was performed after ethical approval from the ethical review committee at the University of Veterinary and Animal Sciences (Approval number DR/509). It was conducted from April to June 2023 at the University Training and Research Demonstration Farm, Ravi campus Pattoki-55300, Pakistan.
Animal management, experimental design and treatment
Holstein cows were managed in free-stall housing and fed a total mixed ration containing oat silage and grain mix. They had free access to clean and fresh water. Cows were blocked by parity and body condition score, and within the block, they were randomly assigned to receive normal saline (CON = 7) and 500 IU of follicle-stimulating hormone (FSH = 8). The average age of the selected cows at the time of enrollment was 4.92 ± 1.38 years (mean ± standard deviation). The estrous cycle of cows was synchronized with two injections of prostaglandin F2-alpha (PG; Dalmazine, D-cloprostenol, 2 mL, 75 µg/mL, Fatro, Italy), given 11 days apart, and the day of the second PG was considered day-0 of the study. Ultrasound guided ablation of the dominant follicle (DFA) was performed, and CIDR was inserted on day-0 (Supplemental Figure S1). Starting from day-2, cows receiving the FSH treatment were injected with 500 IU of FSH in six equal doses (FSH; 1000 IU, Ningbo Second Hormone Factory-NSHFTM, China) at intervals of 12 h. The CON cows received 2 mL of normal saline at the same time as in the FSH treatment.
Follicular evaluation and grading criteria
Ovarian ultrasonography was performed using a B-mode scanner with a 7.5 MHz transrectal linear probe (Kaixin-5600; Hubei, China) with an interval of 12 h, starting from day 0.5 to 5.0 relative to enrollment for follicle size measurement and counts. Follicles were categorized based on size as small; < 5 mm, medium; 5.0–8.9 mm and large; ≥9 mm.
Cow behaviour and body surface temperature
Cow behaviour, including activity and feeding time, was observed from day-0 to day-6 using SmartTag neck (NEDAP livestock management, Gronelo, The Netherlands). The activity measured by the NEDAP Neck Tag indicates locomotory changes including walking and standing, or behavioural changes like chin resting, mounting and sniffing. The surface temperatures of different body regions, including the eye, shoulder, flank and vulva, were measured by using an infrared thermal camera (Fluke PTi120, Fluke Cooperation, Washington State, USA) as outlined in Supplementary Figure S2. The ambient temperature was recorded after every 12-h interval from day-2 to day-5. Each time, three to four readings were taken at 10-min intervals using HTC-2 Digital Thermohygrometer, and the averages of these readings were used to ensure consistency and accuracy. Furthermore, the thermal images were taken before performing ultrasonography to avoid any stress-induced changes in body temperature, therefore maintain the integrity of thermal readings of different body regions.
Milk yield
Cows were milked twice daily at 06:00 and 18:00 h in the milking parlour (Dairy parlor P7300, GEA, Germany). Daily milk yield was recorded for individual cows from 41 prior to enrollment until day-6, and the milk yield from 41 days prior to until D0 was used as a covariate in models.
Statistical analysis
The data was analysed with mixed effects models using MIXED procedures in SAS (version 9.4; SAS/STAT, SAS Institute Inc.). For each continuous dependent variable, the normality of residuals and homogeneity of variance were examined. The Box-Cox transformation was used for variables that violated normality using a macro for mixed effect models in SAS. To demonstrate results, the least square mean and associated standard error of the mean were back transformed. All statistical models included the fixed effect of treatment, day, parity, all possible interactions of treatment, day and parity, and the random effect of block and cow nested within treatment for proper error terms. The day was the REPEATED statement of the model. Pre-treatment measurements for the responses were used as covariates in the statistical models whenever applicable.
Additional analyses were conducted to understand the role of the ambient temperature on the body surface temperature. The ambient temperature between 0.5°C and 25°C was considered as the thermoneutral zone (TNZ) for the cows. We classified ambient temperature into two categories when the ambient temperature was ≤25.0°C then cows were considered in the TNZ and ambient temperature > 25.0°C then cows were considered above the TNZ. The statistical model included the fixed effect of the treatment, TNZ and an interaction between treatment and TNZ.
Statistical significance was considered at P ≤ 0.05.
Results and discussion
Effect of superstimulation on size and number of follicles
The effect of superstimulation with FSH on the size and number of the first, second, and third largest follicles in Holstein cows is shown in Supplemental Figures S3A-F and S4A-H. Cows treated with FSH had increased large and total follicles but had similar small and medium follicles compared with CON cows. Supplementation with FSH likely supported the growth of follicles and prevented the atresia of follicles (García Guerra et al., Reference García Guerra, Tribulo, Yapura, Adams, Singh and Mapletoft2015).
Effect of superstimulation on behaviour and milk yield
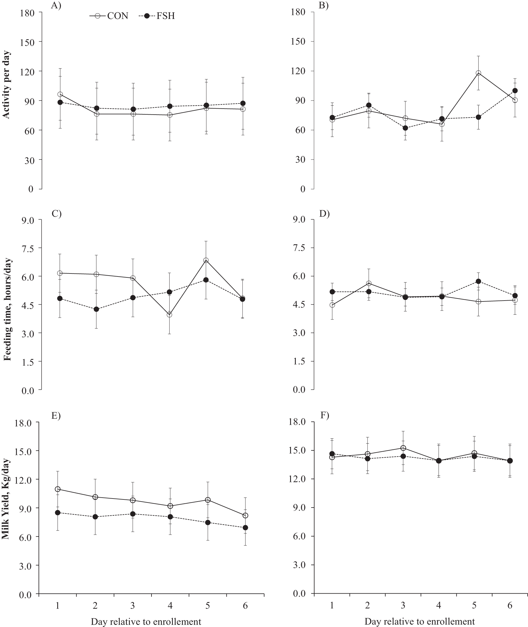
The activity, feeding time and milk yield in Holstein cows are depicted in Fig. 1A–F. Treatment did not affect the behaviour including daily neck activity and feeding time, and also did not affect the yield of milk. In our experiment, cows received an intra-vaginal progesterone-releasing device to control follicle growth from DFA to OPU. Supplementation of progesterone likely masked the impact of estradiol on the reduction of intake and milk yield. Wade (Reference Wade1975) studied the effect of estradiol and progesterone on feed intake in ovariectomized rats. Estradiol benzoate (EB) administration resulted in decreased feed intake for 3 weeks compared with control. However, when rats were supplemented with progesterone along with EB, the reduction in feed intake was observed only in EB-treated rats (Wade, Reference Wade1975). Presumably, the progesterone released by CIDR might diminish the effect of estradiol on feed reduction in cows, as Wade (Reference Wade1975) observed.

Figure 1. Effect of superstimulation on the behaviour and milk yield of the Holstein cows. Activity per day in primiparous (A) and multiparous cows (B) effect of treatment (P = 0.95), effect of day (P = 0.70), effect of parity (P = 0.86), interaction between treatment and day (P = 0.86), interaction between treatment and parity (P = 0.75) and interaction of treatment with day and parity (P = 0.91). Feeding time, hours/day in primiparous (C) and multiparous cows (D) effect of treatment (P = 0.79), effect of day (P = 0.05), effect of parity (P = 0.75), interaction between treatment and day (P = 0.04), interaction between treatment and parity (P = 0.58) and interaction of treatment with day and parity (P = 0.09). Error bars represent the standard errors of the means. Milk yield in primiparous (E) and multiparous cows (F) effect of treatment (P = 0.33), effect of day (P = 0.02), effect of parity (P = 0.07), interaction between treatment and day (P = 0.86), interaction between treatment and parity (P = 0.44) and interaction of treatment with day and parity (P = 0.71). Error bars represent the standard errors of the means.
Effect of superstimulation on body surface temperature
The effect of superstimulation on body surface temperature is presented in Supplemental Tables 1 and 2. The treatment did not influence the temperature of different regions including left and right eyes, shoulders, flanks and vulva. Therefore, only the results for the vulvar region are presented in the main text (Table 1). No significant differences were observed in the maximum, average, or minimum vulvar temperatures between treatment groups. Similarly, treatment had no effect regardless of whether the cows were within the thermoneutral zone or outside of it (Table 1). A study conducted by Stachenfeld et al. (Reference Stachenfeld, Silva and Keefe2000) evaluated the effect of estrogen and progesterone on the core body temperature in women. Women were randomly assigned to four groups, i.e., follicular phase, mid-luteal phase, progestin (OC-P) and estradiol, and progestin (OC E + P) oral contraceptives for 4 weeks, and esophageal temperature was recorded. The esophageal temperature was higher in the luteal phase and OC-P than follicular phase. However, the esophageal temperature of the follicular phase and OC-E + P did not differ, suggesting estradiol reduces the rise of temperature caused by progesterone in women. We were expecting that cows in the FSH treatment should have a lower body surface temperature than CON cows because of the greater number of large follicles. Perhaps growing follicles in the CON treatment produce enough estradiol to mask the effect of the progesterone in increasing body temperature. However, such speculation requires thorough investigation.
Table 1. Effect of FSH superstimulation on body surface temperature of vulva in Holstein cows

1 TRT = effect of treatment.
2 TRT= Main effect of treatment when data was analyzed with thermoneutral zone.
Ambient temperature is critical in reducing the body temperature induced by estradiol. Studies have shown that estradiol-induced decline in core body temperature was observed only when the ambient temperature was above the thermoneutral zone (Dacks and Rance, Reference Dacks and Rance2010). We analysed body surface temperature by stratifying ambient temperature within or above the thermoneutral zone of the cows; however, body surface temperature of the different regions was not affected by the FSH treatment. A comprehensive study is required to determine the interaction between estradiol and thermoneutral zone on the activation of heat loss system.
In conclusion, the present experiment demonstrated that FSH treatment increased the number of large follicles without affecting cow behavior including activity feeding time and milk production. The surface temperature of different body regions was observed similar and not affected by the FSH treatment. However, the role of ambient temperature in regulating body temperature needs to be investigated, especially under the influence of steroid hormones.
Supplementary material
The supplementary material for this article can be found at https://doi.org/10.1017/S0022029925101301.
Acknowledgements
The authors acknowledge graduate students; Abdul Khaliq, Zohaib Hassan, Muhammad Bilal, Ali Hassan, Nafees Alam, and lab assistants Zulfiqar Ali, and Muhammad Zeeshan Naeem of the University of Veterinary and Animal Sciences for helping with the experiment.
Competing interests
All authors declare no conflict of interest.
 