Published online by Cambridge University Press: 02 April 2025

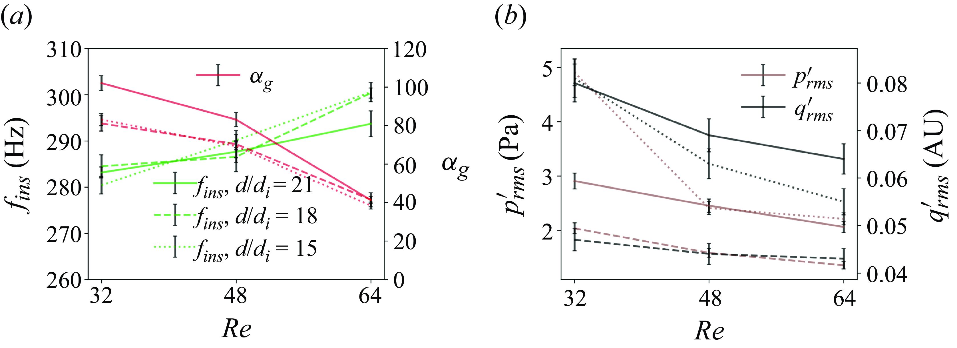
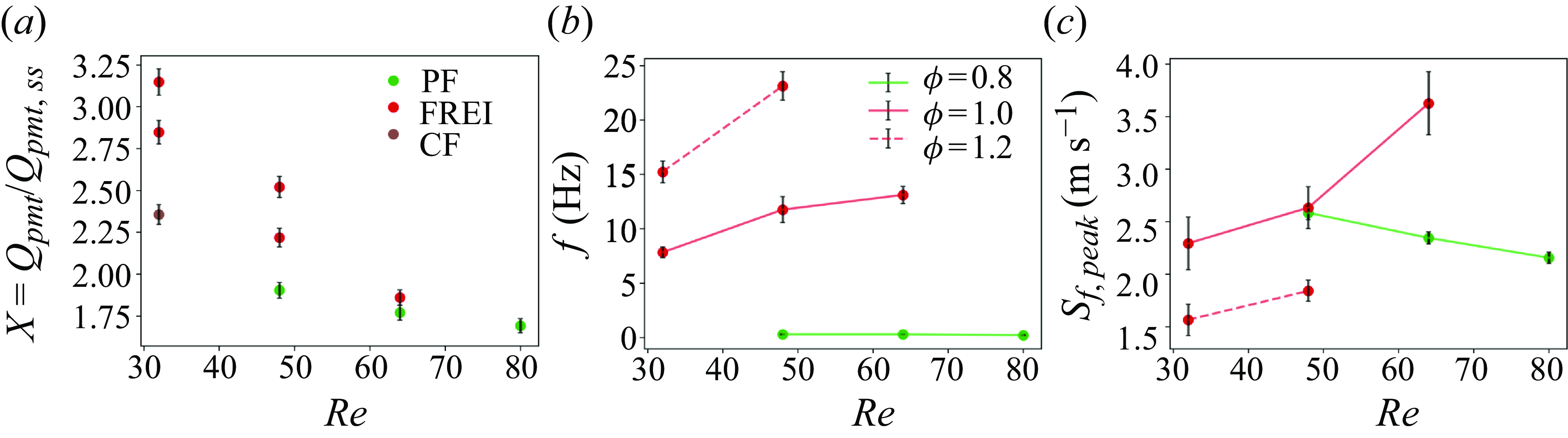
Understanding the dynamics of flames at small scales opens up opportunities to enhance the performance of small-scale power generation devices, micro-reactors, fire safety devices and numerous other systems that confine combustion to micro/meso scales. The current study investigates the dynamics of laminar premixed methane–air flames in meso-scale channels. A cylindrical quartz tube, functioning as an optically accessible meso-scale combustor, is externally heated by a primary heater to facilitate the auto-ignition of the reactant mixture flowing through the tube. Experiments were conducted over a wide range of Reynolds numbers (
$Re$) and equivalence ratios (
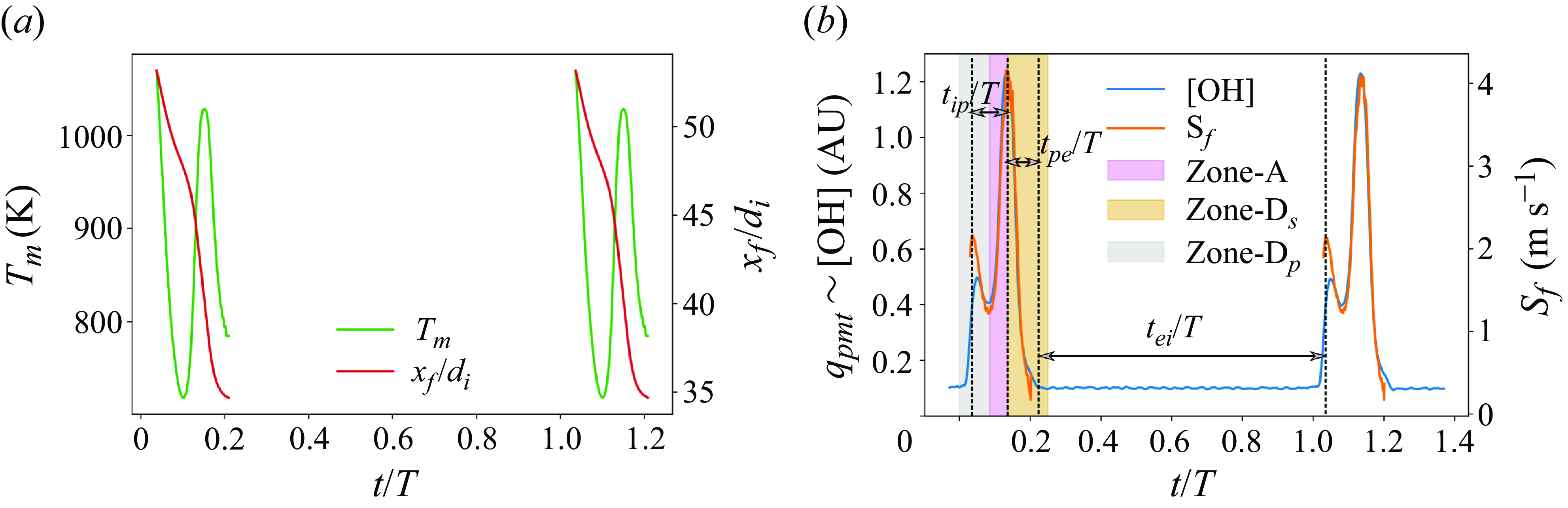
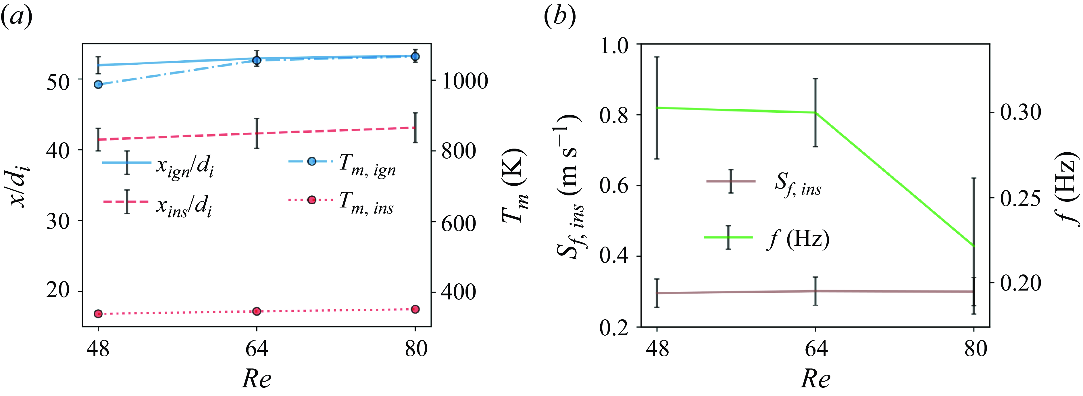
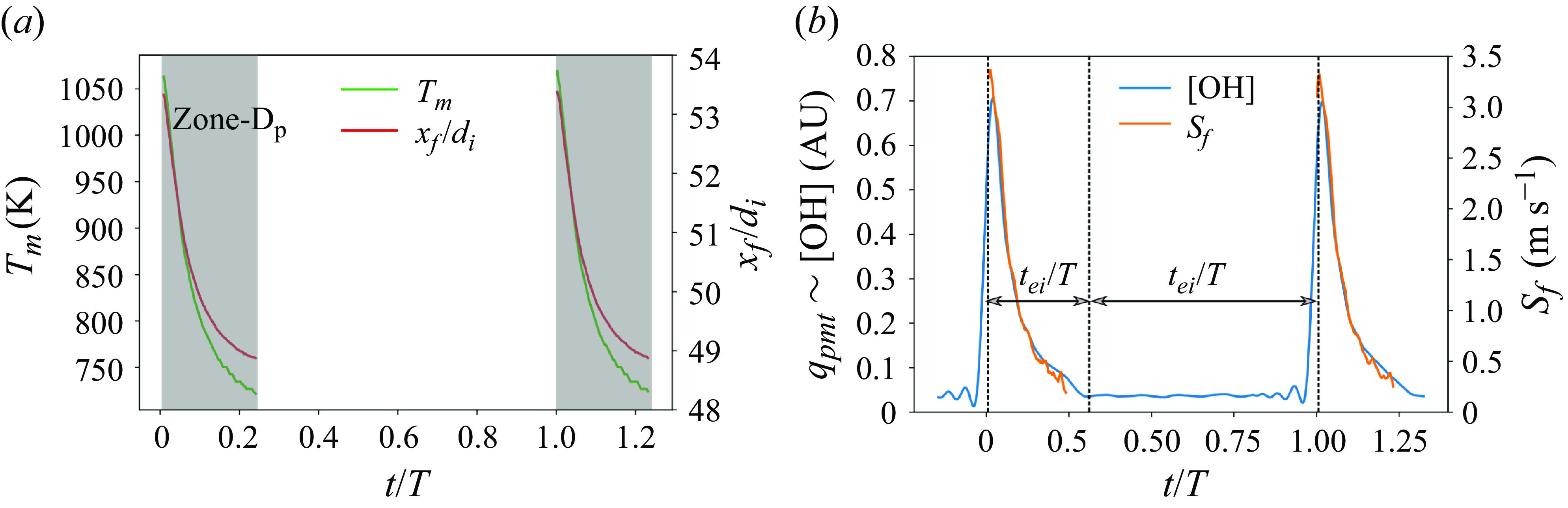
$\Phi$). Apart from the previously documented observations of unsteady flames with repetitive extinction and ignition (FREI) characteristics, this study identifies an additional unsteady propagating flame (PF) regime. While FREI appeared at stoichiometric and fuel-rich conditions, PFs were observed at the equivalence ratio of
$0.8$. Unlike the FREI regime, where the flame extinguishes after a characteristic travel distance, PFs continue to travel till they reach the upstream end of the combustor tube, where they extinguish upon encountering a meshed constriction. These flames are associated with a characteristic heat release rate oscillation that couples with the pressure fluctuations at frequencies close to the natural harmonic of the combustor tube. The study further investigates how variations in the wall temperature profile affect the dynamics of FREI and PF regimes. To achieve this, a secondary heater is introduced at varying distances from the primary heater, effectively imposing distinct bimodal wall heating profiles over the combustor tube. The observations and trends from the study were justified using simplified theoretical arguments based on the estimate of the mean flow temperature of the reactant mixture and a flame propagation model that accounts for wall heat losses. The novel findings from this work provide valuable insights that can significantly impact the design and development of advanced micro/meso-scale combustion systems.