1. Introduction
For a real number
$\beta>1$
, consider the
$\beta $
-transformation
where
$\lfloor r\rfloor $
denotes the integer part of a real number r. Given a number
$t\in [0,1)$
, we are interested in the survivor set
that is, the set of points whose forward orbit never enters the ‘hole’
$[0,t)$
. (Traditionally in open dynamical systems, one takes the hole to be open. However, because here
$0$
is both an endpoint of the hole and an endpoint of the domain, it is more convenient to include this point with the hole; this affects the survivor set by at most countably many points.) Clearly, the set-valued function
$t\mapsto K_\beta (t)$
is non-increasing in t and we may wish to study the bifurcation set
Kalle et al [Reference Kalle, Kong, Langeveld and Li20] considered the case
$\beta \in (1,2]$
and proved several properties of the set
$\mathscr {E}_\beta $
(denoted by
$E_\beta ^+$
in their paper). They furthermore showed that the dimension function
${\eta _\beta : t\mapsto \dim _H K_\beta (t)}$
is a decreasing devil’s staircase. In particular, there is a point
${t=\tau (\beta )}$
, called the critical value, at which
$\eta _\beta (t)$
first reaches the value zero. That is,
In a previous paper [Reference Allaart and Kong3], the present authors determined this critical value
$\tau (\beta )$
for all
$\beta \in (1,2]$
.
The aim of the present article is to extend the results of [Reference Allaart and Kong3, Reference Kalle, Kong, Langeveld and Li20] to all
$\beta>1$
. The primary difficulty in this generalization lies in the fact that for
$\beta>2$
, one needs alphabets of size three or greater to understand the symbolic dynamics underlying the map
$T_\beta $
. The proofs in [Reference Allaart and Kong3, Reference Kalle, Kong, Langeveld and Li20] relied heavily on the use of Farey words, which are words over the alphabet
$\{0,1\}$
that satisfy a certain balancing property. It is not a priori clear how one should extend these Farey words to larger alphabets. Doing this in the right way is the key to extending the above-mentioned results.
For the critical value
$\tau (\beta )$
, we state here first a general, qualitative result about the graph of
$\beta \mapsto \tau (\beta )$
. The precise calculation of
$\tau (\beta )$
splits into several cases and requires additional notation and concepts; we will present it in §3.
Theorem 1.1.
-
(i) The function
$\tau : \beta \mapsto \tau (\beta )$
is left-continuous on
$(1,\infty )$
with right-hand limits everywhere, but also has a countably infinite set of discontinuities. -
(ii)
$\tau $
has no downward jumps. -
(iii) There is an open set
$O\subseteq (1,\infty )$
, whose complement
$(1,\infty )\setminus O$
has zero Hausdorff dimension, such that
$\tau $
is real-analytic, strictly convex, and strictly decreasing on each connected component of O.
We illustrate Theorem 1.1 in Figure 1.

Figure 1 The graph of the critical value function
$\tau (\beta )$
for
$\beta \in (1,4]$
, with some of the basic intervals marked by blue dotted lines. (See §3 for the definitions.) The interiors of the basic intervals make up the set O in Theorem 1.1. Black dotted lines indicate jumps in the graph (colour online).
We remark that, as a consequence of item (i), the dimension
$\dim _H K_\beta (t)$
is not jointly continuous in
$\beta $
and t. Theorem 1.1 was proved in [Reference Allaart and Kong3] for
$\beta \in (1,2]$
. We will show that it continues to hold for all
$\beta>1$
. In the process, we also streamline some of the proofs.
For the bifurcation set
$\mathscr {E}_\beta $
, we prove the following theorem.
Theorem 1.2.
-
(i) For any
$\beta>1$
,
$$ \begin{align*} \mathscr{E}_\beta=\{t\in[0,1): T_\beta^n(t)\ge t~\text{ for all } n\ge 0\}. \end{align*} $$
-
(ii) For any
$\beta>1$
,
$\mathscr {E}_\beta $
is a Lebesgue null set of full Hausdorff dimension. -
(iii) For Lebesgue-almost every
$\beta \in (1,\infty )$
,
$\mathscr {E}_\beta $
contains both infinitely many isolated points and infinitely many accumulation points arbitrarily close to zero. -
(iv) There is an uncountable set
$E_L$
of zero Hausdorff dimension such that
${\mathscr {E}_\beta }$
contains no isolated points if and only if
$\beta \in E_L$
.
1.1. Related literature
The sets
$K_\beta (t)$
were first considered by Urbański [Reference Urbański29] in the context of the doubling map (
$\beta =2$
). He proved that the function
$\eta _2: t\mapsto \dim _H K_2(t)$
is a decreasing devil’s staircase and the set-valued bifurcation set
$\mathscr {E}_2$
is equal to the dimension bifurcation set
$\mathscr {B}_2$
, where
Urbański showed furthermore that the critical value
$\tau (2)=1/2$
and that
Kalle et al [Reference Kalle, Kong, Langeveld and Li20] conjectured that this identity should generalize to all
$\beta \in (1,2]$
, namely,
Baker and Kong [Reference Baker and Kong8] verified (1.2) for the special case when
$\beta $
is the positive root of
${x^{n+1}=x^n+x^{n-1}+\cdots +x+1}$
, where
$n\in \mathbb {N}$
. They also proved for such
$\beta $
the equality
${\mathscr {E}_\beta =\mathscr {B}_\beta }$
. In our preprint [Reference Allaart and Kong4], we provide a proof of (1.2) for all
$\beta \in (1,2]$
and show that, in contrast to the findings in [Reference Baker and Kong8, Reference Urbański29], the difference
$\mathscr {E}_\beta \backslash \mathscr {B}_\beta $
has positive Hausdorff dimension for Lebesgue-almost every
$\beta>1$
, but can also have any finite cardinality or be countably infinite, depending on
$\beta $
. Using the extended Farey words introduced in this article, these results may be extended to all
$\beta>1$
; this will be done in a separate paper.
The doubling map with an arbitrary hole
$(a,b)\subseteq [0,1)$
was considered by Glendinning and Sidorov [Reference Glendinning and Sidorov19], and their work was partially extended to general
$\beta $
-transformations by Clark [Reference Clark12]. For
$\beta \in (1,2]$
, the symbolic survivor set corresponding to
$K_\beta (t)$
, which we introduce in §6, can be put roughly in correspondence with the survivor set
$K_2(a,b)$
for the doubling map with a suitable choice of hole
$(a,b)$
; hence, there is a dictionary between our results from [Reference Allaart and Kong3] and those of Glendinning and Sidorov. Details of this relationship may be found in [Reference Allaart and Kong4]. However, this correspondence breaks down for
$\beta>2$
: the symbolic dynamics of the ‘k-transformation’
$T_k(x):=kx\pmod 1$
with an arbitrary hole for
$k\in \mathbb {N}_{\geq 3}$
, investigated by Agarwal [Reference Agarwal1], are fundamentally different from those of the survivor set
$K_\beta (t)$
for
$k-1<\beta \leq k$
(even though the same alphabet is concerned) and there appears to be no direct link between the two problems. However, as pointed out by a referee, there is a direct connection between
$K_\beta (t)$
for
$\beta \in (1,k]$
with
$k\geq 3$
and the map
$T_k(x)$
with
$k-1$
holes that are translated by multiples of
$1/k$
; we include a more precise remark at the end of the paper.
The mathematical study of open dynamical systems, or dynamical systems with holes, was first proposed by Pianigiani and Yorke [Reference Pianigiani and Yorke25]. Since then, numerous papers and books have been written on the subject. For instance, Urbański [Reference Urbański28] considered
$C^2$
-expanding, orientation-preserving circle maps with a hole
$(0,t)$
, and Dettmann [Reference Dettmann17] looked at asymptotics of circle maps with small holes. In addition to the survivor set, another important object of study is the escape rate, that is, the rate at which orbits of points enter the hole. Bunimovich and Yurchenko [Reference Bunimovich and Yurchenko10] showed that, in general, the escape rate depends not only on the size, but also on the position of the hole. That this is also true for the size of the survivor set follows from the work of Glendinning and Sidorov [Reference Glendinning and Sidorov19]. Other relevant works, some of which also address applications to billiards and mathematical physics, are the articles by Demers and Young [Reference Demers and Young16], Demers, Wright, and Young [Reference Demers, Wright and Young15], and Bruin, Demers, and Todd [Reference Bruin, Demers and Todd9]. The list is far from complete, of course. For a good overview of the subject, we refer to the book by Collet, Martínez, and San Martín [Reference Collet, Martínez and San Martín13, Ch. 8].
1.2. Organization of the paper
This article is organized as follows. Section 2 introduces the extended Farey words and the substitutions of Farey words that underlie the main results. In §3, we state our results more explicitly. We first introduce the basic intervals, whose interiors collectively make up the set O in Theorem 1.1. We decompose the complement of O into an exceptional set E, a countable collection of relative exceptional sets
$\{E^ {\mathbf {S}}: {\mathbf {S}}\in \Lambda_e \}$
, and an infinitely renormalizable set
$E_\infty $
. Theorem 3.2 states that all these sets are small in terms of dimension. Theorem 3.4 then gives explicit descriptions for the critical value
$\tau (\beta )$
, depending on whether
$\beta $
lies in a basic interval, in E, in some
$E^ {\mathbf {S}} ( {\mathbf {S}}\in \Lambda_e )$
, or in
$E_\infty $
. Theorem 3.8, whose somewhat tedious proof is essentially the same as in [Reference Allaart and Kong3] and is therefore omitted, identifies the discontinuity points of
$\beta \mapsto \tau (\beta )$
.
Before proving the main results, we summarize known facts about greedy and quasi-greedy expansions in §4. Theorems 3.2 and 3.4 are proved in §§5 and 6, respectively. Section 7 is devoted to the proof of Theorem 1.2. Finally, in §8, we describe the connection between
$K_\beta (t)$
with
$\beta \in (1,k]$
and the map
$T_k: x\mapsto kx\pmod 1$
with
$k-1$
holes.
2. Preliminaries
2.1. Greedy and quasi-greedy expansions
We begin by introducing important notation. First, for each
$\beta>1$
, we use the alphabet
$A_\beta :=\{0,1,\ldots ,\lceil \beta \rceil -1\}$
, where
$\lceil \beta \rceil $
denotes the smallest integer greater than or equal to
$\beta $
. Note that the alphabet depends on
$\beta $
: for instance, for
$\beta \in (1,2]$
, we have
$A_\beta =\{0,1\}$
, whereas for
$\beta \in (2,3]$
, we have
${A_\beta =\{0,1,2\}}$
. For a number
$x\in [0,1)$
,
$b(x,\beta )$
will denote the greedy expansion of x in base
$\beta $
over the alphabet
$A_\beta $
, defined as the lexicographically largest sequence
$(c_i)\in A_\beta ^{\mathbb {N}}$
such that
$$ \begin{align} \pi_\beta((c_i)):=((c_i))_\beta:=\sum_{i=1}^\infty \frac{c_i}{\beta^i}=x. \end{align} $$
Likewise, for
$x\in [0,1]$
,
$a(x,\beta )$
denotes the quasi-greedy expansion of x in base
$\beta $
over
$A_\beta $
, defined as the lexicographically largest sequence
$(c_i)\in A_\beta ^{\mathbb {N}}$
that does not end in
$0^\infty $
and satisfies (2.1). We write
$\alpha (\beta ):=a(1,\beta )$
. Note that
$a(x,\beta )=b(x,\beta )$
for all but countably many x.
2.2. Farey words and extended Farey words
Throughout the paper, we use the following notation. First, for any finite word
$\mathbf {w}=w_1\cdots w_m$
, we write
$\mathbf {w}^+:=w_1\cdots w_{m-1}(w_m+1)$
and if
$w_m>0$
, we write similarly
$\mathbf {w}^-:=w_1\cdots w_{m-1}(w_m-1)$
. When
$m=1$
and
$\mathbf {w}=w$
, these definitions should be read as
$\mathbf {w}^+=w+1$
and
${\mathbf {w}^-=w-1}$
. Furthermore, we denote by
$\mathbb {L}(\mathbf {w})$
the lexicographically largest cyclical permutation of
$\mathbf {w}$
, so for instance,
$\mathbb {L}(10210)=21010$
.
We next introduce the Farey words. First, we recursively define a sequence of ordered sets
$F_n, n=0,1,2,\ldots. $
Let
$F_0=(0,1)$
; and for
$n\ge 0$
, the ordered set
$F_{n+1}=(\mathbf {v}_1, \ldots , \mathbf {v}_{2^{n+1}+1})$
is obtained from
$F_{n}=(\mathbf {w}_1,\ldots , \mathbf {w}_{2^n+1})$
by
$$ \begin{align*} \begin{cases} \mathbf{v}_{2i-1}=\mathbf{w}_i & \textrm{for } 1\le i\le 2^{n}+1,\\ \mathbf{v}_{2i}=\mathbf{w}_i\mathbf{w}_{i+1} &\textrm{for } 1\le i\le 2^n. \end{cases} \end{align*} $$
In other words,
$F_{n+1}$
is obtained from
$F_n$
by inserting for each
$1\le j\le 2^{n}$
, the new word
$\mathbf {w}_j\mathbf {w}_{j+1}$
between the two neighboring words
$\mathbf {w}_j$
and
$\mathbf {w}_{j+1}$
. So,
$$ \begin{align*} \begin{split} &F_1=(0,01,1),\quad F_2=(0,001,01,011,1),\\ F_3&=(0,0001,001,00101,01,01011,011,0111,1), \quad \ldots. \end{split} \end{align*} $$
Note that for each
$n\ge 0$
, the ordered set
$F_n$
consists of
$2^n+1$
words which are listed from the left to the right in lexicographically increasing order. We call
$\mathbf {w}\in \{0,1\}^*$
a Farey word if
$\mathbf {w}\in F_n$
for some
$n\ge 0$
. We denote by
$\mathcal {F}:=\bigcup _{n=1}^\infty F_n\backslash \{0,1\}$
the set of all Farey words of length at least two. Finally, we set
For analyzing the case
$\beta \geq 2$
, the extra Farey word 1 will play a critical role.
Next, we define a map
$\theta $
on finite words and infinite sequences that simply increments each coordinate by 1. Thus,
We define the extended Farey set
$\mathcal {F}_e$
by
Thus,
$\mathcal {F}_e$
contains all the Farey words except
$0$
and, in addition, it contains all words derived from such Farey words by incrementing all digits by the same amount. For example, applying
$\theta $
repeatedly to the Farey word
$001$
yields the words
$112, 223, 334, \ldots $
in
$\mathcal {F}_e$
.
The following property is what makes the (extended) Farey words special (see, e.g., [Reference Carminati, Isola and Tiozzo11, Proposition 2.5]).
Lemma 2.1. Let
$ {\mathbf {s}}=s_1\cdots s_m\in \mathcal {F}_e$
. Then:
-
(i)
$\mathbb {L}( {\mathbf {s}})=s_ms_{m-1}\cdots s_1$
; -
(ii)
${ {\mathbf {s}}^-}$
is a palindrome; that is,
$s_1\cdots s_{m-1}(s_m-1)=(s_m-1)s_{m-1}s_{m-2}\cdots s_1$
.
2.3. The substitution operator
We now recall the substitution operator
$\bullet $
from [Reference Allaart and Kong3]. Say a finite word
$\mathbf {w}$
is Lyndon if it is aperiodic and
$\mathbf {w}$
is the lexicographically smallest among all its cyclical permutations. In particular, any word consisting of a single digit is Lyndon. We denote by
$\mathcal {L}_e$
the set of all Lyndon words except
$0$
and by
$\mathcal {L}$
the set of all Lyndon words in
$\{0,1\}^*$
of length at least 2. Then,
and words in
$\mathcal {L}_e$
never end in the digit
$0$
.
Definition 2.2. For a Lyndon word
$ {\mathbf {s}}\in \mathcal {L}_e$
, we define the substitution map
$\Phi _ {\mathbf {s}}: \{0,1\}^{\mathbb {N}}\to \{\mathbb {N}\cup \{0\}\}^{\mathbb {N}}$
by
$$ \begin{align} \begin{aligned} & \Phi_ {\mathbf{s}}(0^{k_1}1^{l_1}0^{k_2}1^{l_2}\cdots)= {\mathbf{s}}^-\mathbb{L}( {\mathbf{s}})^{k_1-1}\mathbb{L}( {\mathbf{s}})^+ {\mathbf{s}}^{l_1-1} {\mathbf{s}}^-\mathbb{L}( {\mathbf{s}})^{k_2-1}\mathbb{L}( {\mathbf{s}})^+ {\mathbf{s}}^{l_2-1}\cdots,\\ & \Phi_ {\mathbf{s}}(1^{k_1}0^{l_1}1^{k_2}0^{l_2}\cdots)=\mathbb{L}( {\mathbf{s}})^+ {\mathbf{s}}^{k_1-1} {\mathbf{s}}^-\mathbb{L}( {\mathbf{s}})^{l_1-1}\mathbb{L}( {\mathbf{s}})^+ {\mathbf{s}}^{k_2-1} {\mathbf{s}}^-\mathbb{L}( {\mathbf{s}})^{l_2-1}\cdots, \end{aligned} \end{align} $$
where
$1\leq k_i, l_i\leq \infty $
for all i. We allow one of the exponents
$k_i$
or
$l_i$
to take the value
$+\infty $
, in which case, we ignore the remainder of the sequence. We define
$\Phi _ {\mathbf {s}}( {\mathbf {r}})$
for a finite word
$ {\mathbf {r}}\in \{0,1\}^*$
in the same way.
The order in which the four blocks
$ {\mathbf {s}}, {\mathbf {s}}^-,\mathbb {L}( {\mathbf {s}})$
and
$\mathbb {L}( {\mathbf {s}})^+$
can appear in
$\Phi _ {\mathbf {s}}( {\mathbf {r}})$
is illustrated in Figure 2. For example,
Now, for any two words
$ {\mathbf {s}}\in \mathcal {L}_e$
and
$ {\mathbf {r}}\in \{0,1\}^*$
, we define the substitution operation
Example 2.3. Let
$ {\mathbf {s}}=01$
and
$ {\mathbf {r}}=011$
. Then,
$ {\mathbf {s}}^-=00$
,
$\mathbb {L}( {\mathbf {s}})=10$
, and
$\mathbb {L}( {\mathbf {s}})^+=11$
. So,
However, if
$ {\mathbf {s}}=1$
and
$ {\mathbf {r}}=011$
, we obtain
$ {\mathbf {s}}\bullet {\mathbf {r}}={ {\mathbf {s}}^-}\mathbb {L}( {\mathbf {s}})^+ {\mathbf {s}}=021$
. This shows that the operator
$\Phi _1$
maps words from
$\{0,1\}^*$
to words over the larger alphabet
$\{0,1,2\}$
. Similarly, we have, for example,
$23\bullet 01=(23)^-\mathbb {L}(23)^+=2233$
.

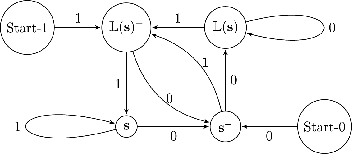
Figure 2 The directed graph illustrating the map
$\Phi _ {\mathbf {s}}$
.
Remark 2.4.
-
(a) We have not defined expressions such as
$01\bullet 021$
, nor do we need to. -
(b) The operation
$\bullet $
commutes with the map
$\theta $
, in the sense that
$\theta ( {\mathbf {s}}\bullet {\mathbf {r}})=\theta ( {\mathbf {s}})\bullet {\mathbf {r}}$
. Thus, for
$ {\mathbf {s}}\in \mathcal {L}_e$
and
$ {\mathbf {r}}\in \mathcal {L}$
, we can write
$ {\mathbf {s}}=\theta ^k(\tilde { {\mathbf {s}}})$
for some
$\tilde { {\mathbf {s}}}\in \mathcal {L}\cup \{1\}$
, and
$ {{\mathbf {s}}\bullet {\mathbf {r}}=\theta ^k(\tilde { {\mathbf {s}}}\bullet {\mathbf {r}})}$
.
The next lemma collects some useful properties of the map
$\Phi _ {\mathbf {s}}$
and the substitution operator
$\bullet $
. For the proofs, see [Reference Allaart and Kong3, §3]. Although the original proofs were given only for Lyndon words
$ {\mathbf {s}}$
in
$\{0,1\}^*$
, that is,
$ {\mathbf {s}}\in \mathcal {L}$
, by using Remark 2.4(b), it is easy to verify that all properties extend to
$ {\mathbf {s}}\in \mathcal {L}_e$
. In particular, the last property says that
$\bullet $
is associative. In the lemma and throughout the paper, the symbols
$\prec $
,
$\succ $
,
$\preccurlyeq $
, and
$\succcurlyeq $
are used to indicate the lexicographical order on words and sequences, defined in the usual way.
Lemma 2.5. Let
$ {\mathbf {s}}\in \mathcal {L}_e$
.
-
(i) The map
$\Phi _ {\mathbf {s}}$
is strictly increasing on
$\{0,1\}^{\mathbb {N}}$
. -
(ii) For any word
$ {\mathbf {d}}=d_1\cdots d_k\in \{0,1\}^*$
with
$k\ge 2$
, we have
$$ \begin{align*} \begin{cases} \Phi_ {\mathbf{s}}( {\mathbf{d}}^-)=\Phi_ {\mathbf{s}}( {\mathbf{d}})^-&\textit{if } d_k=1,\\ \Phi_ {\mathbf{s}}( {\mathbf{d}}^+)=\Phi_ {\mathbf{s}}( {\mathbf{d}})^+&\textit{if } d_k=0. \end{cases} \end{align*} $$
-
(iii) For any two sequences
$ {\mathbf {c}}, {\mathbf {d}}\in \{0,1\}^{\mathbb {N}}$
, we have the equivalences and
$$ \begin{align*} \sigma^n( {\mathbf{c}})\prec {\mathbf{d}}~\text{ for all } n\ge 0 \,\, \Longleftrightarrow \,\, \sigma^n(\Phi_ {\mathbf{s}}( {\mathbf{c}}))\prec \Phi_ {\mathbf{s}}( {\mathbf{d}})~\text{ for all } n\ge 0 \end{align*} $$
$$ \begin{align*} \sigma^n( {\mathbf{c}})\succ {\mathbf{d}}~\text{ for all } n\ge 0 \,\, \Longleftrightarrow \,\, \sigma^n(\Phi_ {\mathbf{s}}( {\mathbf{c}}))\succ \Phi_ {\mathbf{s}}( {\mathbf{d}})~\text{ for all } n\ge 0. \end{align*} $$
-
(iv) For any
$ {\mathbf {r}}\in \mathcal {L}$
, we have
$ {\mathbf {s}}\bullet {\mathbf {r}}\in \mathcal {L}_e$
and
$\mathbb {L}( {\mathbf {s}}\bullet {\mathbf {r}})= {\mathbf {s}}\bullet \mathbb {L}( {\mathbf {r}})$
. -
(v) For any
$ {\mathbf {r}}, {\mathbf {t}}\in \mathcal {L}$
, we have
$( {\mathbf {s}}\bullet {\mathbf {r}})\bullet {\mathbf {t}}= {\mathbf {s}}\bullet ( {\mathbf {r}}\bullet {\mathbf {t}})$
.
In [Reference Allaart and Kong3], we defined the sets
and
$$ \begin{align} \Lambda:=\bigcup_{m=1}^\infty \Lambda(m). \end{align} $$
We now extend this collection
$\Lambda $
by setting
and
$$ \begin{align} \Lambda_e:=\bigcup_{m=1}^\infty \Lambda_e(m). \end{align} $$
Observe that, in view of Remark 2.4(b),
$\Lambda _e$
can be written alternatively as
$$ \begin{align*} \Lambda_e=\bigcup_{k=0}^\infty \theta^k(\Lambda\cup \{1\} \cup \Phi_1(\Lambda)). \end{align*} $$
Thus, the only truly new words (up to a repeated application of the map
$\theta $
) in the collection
$\Lambda _e$
are
$1$
and
$1\bullet {\mathbf {S}}$
,
$ {\mathbf {S}}\in \Lambda $
. However, throughout the paper, we find it convenient to represent a generic element of
$\Lambda _e$
as
$ {\mathbf {s}}_1\bullet {\mathbf {s}}_2\bullet \cdots \bullet {\mathbf {s}}_m$
, where
$ {\mathbf {s}}_1\in \mathcal {F}_e$
and
$ {{\mathbf {s}}_2,\ldots ,s_m\in \mathcal {F}}$
.
Remark 2.6. Word
$ {\mathbf {S}}\in \Lambda $
may be constructed alternatively and more elegantly using the three substitutions
$$ \begin{align} L: \begin{cases}0 &\mapsto 0,\\ 1 &\mapsto 10,\end{cases} \quad M: \begin{cases}0 &\mapsto 01,\\ 1 &\mapsto 10,\end{cases} \quad R: \begin{cases}0 &\mapsto 01,\\ 1 &\mapsto 1,\end{cases} \end{align} $$
and the cyclical shift
$\sigma _c$
defined on finite words by
$\sigma _c(w_1w_2\cdots w_n):=w_2\cdots w_nw_1$
. First, any Farey word
$ {\mathbf {s}}\in \mathcal {F}$
can be expressed as
$ {\mathbf {s}}=\sigma _c\circ \varphi (1)$
for some
$\varphi \in \{L,R\}^*M$
, where
$\{L,R\}^*$
is the free monoid over
$\{L,R\}$
with composition of maps as the operation. We write this correspondence as
$ {\mathbf {s}}\leftrightarrow \varphi $
. For example,
$0010101 \leftrightarrow LRRM$
. Similarly, if
$ {\mathbf {S}}= {\mathbf {s}}_1\bullet {\mathbf {s}}_2\bullet \cdots \bullet {\mathbf {s}}_k\in \Lambda (k)$
, we have
$ {\mathbf {S}} \leftrightarrow \varphi _1\varphi _2\cdots \varphi _k$
, where each
$\varphi _i\in \{L,R\}^*M$
. For instance,
$001\leftrightarrow LM$
,
$011\leftrightarrow RM$
, and hence,
$000\,101\,001=001\bullet 011 \leftrightarrow LMRM$
. So, in general, for each
$ {\mathbf {S}}\in \Lambda $
, we have
$ {\mathbf {S}}\leftrightarrow \varphi $
for some map
$\varphi \in \{L,M,R\}^*M$
. Furthermore, if
$ {\mathbf {S}}\leftrightarrow \varphi $
, it also holds that
$\mathbb {L}( {\mathbf {S}})=\sigma _c\circ \varphi (0)$
. The substitutions
$L, R$
, and M were used very effectively in [Reference Komornik, Steiner and Zou22], and before that, with different notation, in [Reference Labarca and Moreira23].
The reason why we did not define the words
$ {\mathbf {S}}\in \Lambda _e$
in terms of
$L, R$
, and M is that the map
$\Phi _1$
does not interact well with these substitutions. Because
$\Phi _1$
maps words in
$\{0,1\}^*$
to words in
$\{0,1,2\}^*$
, there is no simple substitution, defined just by its action on single letters, that can take its place. However, it is clear from the above definitions that
$\Phi _1$
is a natural extension of the maps
$\Phi _ {\mathbf {S}}$
for
$ {\mathbf {S}}\in \Lambda $
, and most proofs written in terms of the maps
$\Phi _ {\mathbf {S}}$
continue to work for
$\Phi _1$
as well. (As a more practical matter, we prefer to keep our notation consistent with our previous paper [Reference Allaart and Kong3].)
3. The critical value
$\tau (\beta )$
For each word
$ {\mathbf {S}}\in \Lambda _e$
, we define three numbers
$\beta _\ell ^ {\mathbf {S}}$
,
$\beta _*^ {\mathbf {S}}$
, and
$\beta _r^ {\mathbf {S}}$
in
$(1,\infty )$
by
and we define two intervals
Note that
$I^ {\mathbf {S}}\subseteq J^ {\mathbf {S}}$
. We call
$I^ {\mathbf {S}}$
a basic interval and for
$ {\mathbf {s}}\in \mathcal {F}_e$
, we call
$J^ {\mathbf {s}}$
a Farey interval. If
$ {\mathbf {S}}= {\mathbf {s}}_1\bullet \cdots \bullet {\mathbf {s}}_n$
with
$ {\mathbf {s}}_i\in \mathcal {F}$
for all i (including
$i=1$
), then
$J^ {\mathbf {S}}$
lies inside the interval
$(1,2)$
and, by associating
$ {\mathbf {S}}$
with a substitution
$\varphi \in \{L,M,R\}^*M$
as in Remark 2.6, we can write
Note that, in our notation, we have
$\alpha (\beta _\ell ^ {\mathbf {S}})=\mathbb {L}( {\mathbf {S}})^\infty $
,
$\alpha (\beta _*^ {\mathbf {S}})=\mathbb {L}( {\mathbf {S}})^+ {\mathbf {S}}^-\mathbb {L}( {\mathbf {S}})^\infty =\Phi _ {\mathbf {S}}(10^\infty )$
, and
$\alpha (\beta _r^ {\mathbf {S}})=\mathbb {L}( {\mathbf {S}})^+ {\mathbf {S}}^\infty =\Phi _ {\mathbf {S}}(1^\infty )$
.
However, if
$ {\mathbf {s}}_1\in \mathcal {F}_e\setminus \mathcal {F}$
, then
$J^ {\mathbf {S}}\subseteq [2,\infty )$
. In particular, for
$ {\mathbf {S}}=k\in \mathbb {N}$
, we have
where we write
$\beta _\ell ^{(k)}, \beta _r^{(k)}$
instead of
$\beta _\ell ^k,\beta _r^k$
to avoid confusion with exponentiation.
Proposition 3.1.
-
(i) The Farey intervals
$J^ {\mathbf {s}}$
,
$ {\mathbf {s}}\in \mathcal {F}_e$
are pairwise disjoint. -
(ii) For each
$ {\mathbf {S}}\in \Lambda _e$
, the intervals
$J^{ {\mathbf {S}}\bullet {\mathbf {r}}}, {\mathbf {r}}\in \mathcal {F}$
are pairwise disjoint subintervals of
$J^ {\mathbf {S}}$
. -
(iii) The basic intervals
$I^ {\mathbf {S}}, {\mathbf {S}}\in \Lambda _e$
are pairwise disjoint.
We next define several special sets of bases, all of which are small in the sense of dimension. Set
$$ \begin{align*} &\qquad\qquad E:=(1,\infty)\backslash \bigcup_{ {\mathbf{s}}\in \mathcal{F}_e} J^ {\mathbf{s}},\\ & E^ {\mathbf{S}}:=(J^ {\mathbf{S}}\backslash I^ {\mathbf{S}})\backslash \bigcup_{ {\mathbf{r}}\in\mathcal{F}} J^{ {\mathbf{S}}\bullet {\mathbf{r}}}, \quad {\mathbf{S}}\in\Lambda_e, \end{align*} $$
and
$$ \begin{align*} E_\infty:=\bigcap_{m=1}^\infty \bigcup_{ {\mathbf{S}}\in\Lambda_e(m)} J^ {\mathbf{S}}. \end{align*} $$
Note that
$E_\infty $
is the set of bases
$\beta $
that belong to infinitely many of the intervals
$J^ {\mathbf {S}}$
,
$ {{\mathbf {S}}\in \Lambda _e}$
. We call such bases infinitely renormalizable, because there is an infinite sequence
$( {\mathbf {s}}_k)$
of (extended) Farey words such that
$\beta \in J^{ {\mathbf {s}}_1\bullet \cdots \bullet {\mathbf {s}}_k}$
for each k, where
$ {\mathbf {s}}_1\in \mathcal {F}_e$
and
${ {\mathbf {s}}_k\in \mathcal {F}}$
for all
$k\geq 2$
. (We call
$( {\mathbf {s}}_k)$
the coding of
$\beta $
.)
Let
$\dim _H$
,
$\dim _P$
, and
$\dim _B$
denote the Hausdorff, packing, and box-counting dimensions, respectively. The following result extends [Reference Allaart and Kong3, Propositions 5.6 and 5.8].
Theorem 3.2. The sets E,
$E^ {\mathbf {S}}\, ( {\mathbf {S}}\in \Lambda _e)$
, and
$E_\infty $
are all zero-dimensional. Precisely:
-
(i)
$\dim _P E=0$
; -
(ii)
$\dim _B E^ {\mathbf {S}}=0$
for every
$ {\mathbf {S}}\in \Lambda _e$
; -
(iii)
$\dim _H E_\infty =0$
.
In particular, the sets
$E, E^ {\mathbf {S}}\, ( {\mathbf {S}}\in \Lambda _e)$
and
$E_\infty $
all have Hausdorff dimension
$0$
. We call E the exceptional set and the sets
$E^ {\mathbf {S}}$
relative exceptional sets. In view of Proposition 3.1, we have the following decomposition of
$(1,\infty )$
into disjoint subsets:
$$ \begin{align} (1,\infty)=E\cup \bigcup_{ {\mathbf{S}}\in\Lambda_e} E^ {\mathbf{S}} \cup E_\infty \cup \bigcup_{ {\mathbf{S}}\in\Lambda_e} I^ {\mathbf{S}}. \end{align} $$
Remark 3.3. The set E essentially extends the set called E in our previous paper [Reference Allaart and Kong3]. Note, however, that in [Reference Allaart and Kong3], the set E contained the base
$2$
, but here it does not, since
$2$
is the left endpoint of the Farey interval
$J^1$
.
Next, we define, for each
$ {\mathbf {S}}\in \Lambda _e$
, the map
In other words,
$\beta =\Psi _ {\mathbf {S}}(\hat {\beta })$
if and only if
$\alpha (\beta )=\Phi _ {\mathbf {S}}(\alpha (\hat {\beta }))$
. We will show in §5 that
We can now completely specify the critical value
$\tau (\beta )$
for all
$\beta>1$
.
Theorem 3.4.
-
(i) If
$I^ {\mathbf {S}}$
is a basic interval generated by
$ {\mathbf {S}}\in \Lambda _e$
, then (3.4)
$$ \begin{align} \tau(\beta)=( {\mathbf{S}}^-\mathbb{L}( {\mathbf{S}})^\infty)_\beta \quad \textrm{for {every}}\ \beta\in I^ {\mathbf{S}}. \end{align} $$
-
(ii) For all
$\beta>1$
, we have
$\tau (\beta )\leq 1-(1/\beta )$
. Furthermore,
$$ \begin{align*} \tau(\beta)=1-\frac{1}{\beta} \quad \Longleftrightarrow \quad \beta\in E_L:=E\cup\{\beta_\ell^ {\mathbf{s}}: {\mathbf{s}}\in\mathcal{F}_e\}. \end{align*} $$
-
(iii) For any
$ {\mathbf {S}}\in \Lambda _e$
and
$\beta \in E^ {\mathbf {S}}$
, we have where
$$ \begin{align*} \tau(\beta)= (\Phi_ {\mathbf{S}}(0\hat{\alpha}_2\hat{\alpha}_3\cdots))_\beta, \end{align*} $$
$1\hat {\alpha }_2\hat {\alpha }_3\cdots $
is the quasi-greedy expansion of
$1$
in base
$\hat \beta :=\Psi _ {\mathbf {S}}^{-1}(\beta )$
. (Note
$\hat \beta $
is well defined in view of (3.3).)
-
(iv) For any
$\beta \in E_\infty $
with coding
$( {\mathbf {s}}_k)$
, we have
$$ \begin{align*} \tau(\beta) =\lim_{n\to\infty} ( {\mathbf{s}}_1\bullet\cdots\bullet {\mathbf{s}}_n 0^\infty)_\beta. \end{align*} $$
In Figure 1, we illustrate Theorem 3.4(i) by highlighting a few specific basic intervals. Note that
$01\in \mathcal {F}$
, and the words
$1,2=\theta (1), 12=\theta (01)$
and
$23=\theta ^2(01)$
lie in
$\mathcal {F}_e$
. Moreover,
$02=1\bullet 01\in \Lambda _e(2)$
and
$13=2\bullet 01=\theta (02)\in \Lambda _e(2)$
.
Remark 3.5. Part (i) of the above theorem extends [Reference Allaart and Kong3, Theorem 2]; part (ii) extends a result of [Reference Kalle, Kong, Langeveld and Li20]; and parts (iii) and (iv) extend [Reference Allaart and Kong3, Propositions 6.2 and 6.3], respectively. For the latter result, we also give a significantly simpler proof.
To illustrate Theorem 3.4(iv), let
$\beta _m$
be the Komornik–Loreti constant for the alphabet
$\{0,1,\ldots ,m\}$
, where
$m\in \mathbb {N}$
. That is,
$\beta _m$
is the smallest base in which the number
$1$
has a unique expansion over the alphabet
$\{0,1,\ldots ,m\}$
. In [Reference Allaart and Kong3], we showed that
$\beta _1\in E_\infty $
and
$\tau (\beta _1)=(2-\beta _1)/(\beta _1-1)$
. We give a slightly different proof of this fact here and extend the result to the other Komornik–Loreti constants.
Proposition 3.6. For each m,
$\beta _m\in E_\infty $
with coding
$( {\mathbf {s}}_1,01,01,\ldots )$
, where
$$ \begin{align*} {\mathbf{s}}_1=\begin{cases} (k-1)k & \text{if } m=2k-1,\\ k & \text{if } m=2k, \end{cases} \end{align*} $$
and
Proof. It suffices to prove this for the case
$k=1$
(that is,
$m=1$
and
$m=2$
), as the remaining cases are mere shifts of these two ‘base’ cases; see [Reference Komornik and Loreti21]. Consider first the case
$m=1$
. It is well known that
$\alpha (\beta _1)=(\unicode{x3bb} _i)_{i=1}^\infty $
, where
$(\unicode{x3bb} _i)_{i=0}^\infty $
is the Thue–Morse sequence:
It is also well known that
$(\unicode{x3bb} _i)_{i=0}^\infty =M^\infty (0):=\lim _{k\to \infty }M^k(0)0^\infty $
, where M is the substitution from (2.7). Thus,
$\alpha (\beta _1)=\sigma (M^\infty (0))$
, which by Remark 2.6 is equal to
$\lim _{k\to \infty }\mathbb {L}( {\mathbf {s}}_1\bullet \cdots \bullet {\mathbf {s}}_k 0^\infty )$
with
$ {\mathbf {s}}_i=01$
for all i. This implies that
$\beta _1\in E_\infty $
with coding
$(01,01,\ldots )$
. Furthermore, since
$M(1)=10=11-01=11-M(0)$
(with subtraction coordinatewise), we have
giving, by Theorem 3.4(iv),
Moving on to the case
$m=2$
, it follows from [Reference Komornik and Loreti21, Lemma 5.3] that
$$ \begin{align*} \alpha(\beta_2)&=\Phi_1(\unicode{x3bb}_1\unicode{x3bb}_2\cdots)=\Phi_1(\sigma(M^\infty(0)))\\ &=\Phi_1(1101\,0011\,0010\,1101\ldots)\\ &=2102\,0121\,0120\,2102\ldots, \end{align*} $$
and this implies immediately that
$\beta _2\in E_\infty $
with coding
$(1,01,01,\ldots )$
. Furthermore, it is clear from the definition of
$\Phi _1$
(see also Figure 2) that for any sequence
$(x_i)\in \{0,1\}^{\mathbb {N}}$
,
(with subtraction again coordinatewise). Thus,
$$ \begin{align*} \lim_{k\to\infty}\Phi_1(\underbrace{01\bullet\cdots\bullet 01}_{k}\,0^\infty)&=\Phi_1(\sigma(M^\infty(1)))=\Phi_1(1^\infty-\sigma(M^\infty(0)))\\ &=2^\infty-\Phi_1(\sigma(M^\infty(0))), \end{align*} $$
and so, by Theorem 3.4(iv),
as desired.
Remark 3.7. The application of the map
$\Phi _1$
specifically to the Thue–Morse sequence occurs also in [Reference Allouche and Frougny6] and even already in [Reference Allouche5], albeit with different notation.
Theorem 3.8. The function
$\tau $
is continuous at each point of
$(1,\infty )\backslash \{\beta _r^ {\mathbf {S}}: {\mathbf {S}}\in \Lambda _e\}$
. However, for each
$ {\mathbf {S}}\in \Lambda _e$
, we have
(The proof of this theorem is the same as in [Reference Allaart and Kong3].)
Theorem 1.1 now follows from Theorems 3.2, 3.4(i), 3.8, and the decomposition (3.1) by taking
$O=\bigcup _{ {\mathbf {S}}\in \Lambda _e}\mathrm {int}(I^ {\mathbf {S}})$
, where
$\mathrm {int} (I^ {\mathbf {S}})$
denotes the interior of
$I^{ {\mathbf {S}}}$
.
It is interesting to observe that for large
$\beta $
, the basic intervals
$I^k=[\beta _\ell ^{(k)},\beta _*^{(k)}]= [k+1,\beta _*^{(k)}]$
become dominant. This is made precise in the following proposition.
Proposition 3.9. For each
$k\geq 2$
, it holds that
Hence,
$\lim _{k\to \infty }|I^k|=1$
.
Proof. Let
$\beta :=\beta _*^{(k)}$
and observe that
$\alpha (\beta )=(k+1)(k-1)k^\infty $
. Hence,
which leads to the cubic equation
Denote the left side of this equation by
$f_k(\beta )$
. Then,
and
$f_k(k+2)=2k+3>0$
. A longer calculation shows that
$$ \begin{align*} f_k\bigg(k+2-\frac{2}{k+2}\bigg)=-\frac{k(k^2+2k-4)}{(k+2)^3}<0 \quad \text{for } k\geq 2. \end{align*} $$
From these facts, the proposition follows.
This result shows that for large
$M\in \mathbb {N}$
, the intersection of the exceptional set E with
$(M,M+1)$
lives entirely in a very small left neighborhood of
$M+1$
.
4. Properties of greedy and quasi-greedy expansions
We collect here some well-known characterizations and continuity properties of the greedy and quasi-greedy expansions. Since we are not working with a fixed alphabet, however, some extra care is needed with their statements.
Lemma 4.1. (See [Reference Baiocchi and Komornik7].)
Let
$k\in \mathbb {N}$
.
-
(i) The restriction of the map
$\beta \mapsto \alpha (\beta )$
to
$(k,k+1]$
is an increasing bijection from
$\beta \in (k,k+1]$
to the set of sequences
$ \mathbf {a}=a_1a_2\cdots \in \{0,1,\ldots ,k\}^{\mathbb {N}}$
not ending with
$0^\infty $
such that
$a_1=k$
and
$$ \begin{align*} \sigma^n( \mathbf{a})\preccurlyeq \mathbf{a}\quad \text{ for all } n\ge 0. \end{align*} $$
-
(ii) The map
$\beta \mapsto \alpha (\beta )$
is left-continuous everywhere on
$(k,k+1]$
with respect to the order topology, and it is right-continuous at
$\beta _0\in (k,k+1)$
if and only if
$\alpha (\beta _0)$
is not periodic. Furthermore, if
$\alpha (\beta _0)=(a_1\cdots a_m)^\infty $
with minimal period m, then
$\alpha (\beta )\searrow a_1\cdots a_m^+ 0^\infty $
as
$\beta \searrow \beta _0$
.
The next result for greedy expansions was established in [Reference Parry24] and [Reference de Vries and Komornik14, Lemma 2.5 and Proposition 2.6].
Lemma 4.2. Let
$\beta>1$
. The map
$t\mapsto b(t,\beta )$
is an increasing bijection from
$[0,1)$
to the set
Furthermore:
-
(i) the map
$t\mapsto b(t,\beta )$
is right-continuous everywhere in
$[0,1)$
with respect to the order topology in
$A_\beta ^{\mathbb {N}}$
; -
(ii) if
$b(t_0,\beta )$
does not end with
$0^\infty $
, then the map
$t\mapsto b(t,\beta )$
is continuous at
$t_0$
; -
(iii) if
$b(t_0,\beta )=b_1\cdots b_m 0^\infty $
with
$b_m>0$
, then
$b(t, \beta )\nearrow b_1\cdots b_m^-\alpha (\beta )$
as
$t\nearrow t_0$
.
Lemma 4.2 has the following analog for quasi-greedy expansions.
Lemma 4.3. Let
$\beta>1$
. The map
$t\mapsto a(t,\beta )$
is an increasing bijection from
$(0,1]$
to the set
Furthermore:
-
(i) the map
$t\mapsto a(t,\beta )$
is left-continuous everywhere in
$(0,1]$
with respect to the order topology in
$A_\beta ^{\mathbb {N}}$
; -
(ii) if
$a(t_0,\beta )$
does not end with
$\alpha (\beta )$
(equivalently, if
$b(t_0,\beta )$
does not end with
$0^\infty $
), then the map
$t\mapsto a(t,\beta )$
is continuous at
$t_0$
; -
(iii) if
$a(t_0,\beta )=a_1\cdots a_m \alpha (\beta )$
(equivalently, if
$b(t_0,\beta )=a_1\cdots a_m^+0^\infty $
), then
$a(t, \beta )\searrow a_1\cdots a_m^+0^\infty $
as
$t\searrow t_0$
.
5. Proof of Theorem 3.2
Recall the map
$\theta $
from (2.2). It induces a function
$\phi :(1,\infty )\to (2,\infty )$
defined by
By Lemma 4.1, the map
$\phi $
is well defined and strictly increasing. Furthermore, for each
$k\in \mathbb {N}$
,
$\phi $
maps the interval
$(k,k+1]$
into
$(k+1,k+2]$
. However,
$\phi $
should not be confused with the map
$\beta \mapsto \beta +1$
. For instance,
$$ \begin{align*} \phi\bigg(\frac{1+\sqrt{5}}{2}\bigg)=\alpha^{-1}\circ\theta((10)^\infty)=\alpha^{-1}((21)^\infty)=1+\sqrt{3}. \end{align*} $$
In fact, for each
$k\in \mathbb {N}$
, we have
$$ \begin{align*} \lim_{\beta\searrow k} \phi(\beta)=\alpha^{-1}\circ\theta(k0^\infty)=\alpha^{-1}((k+1)1^\infty)=\frac{k+2+\sqrt{k^2+4}}{2}, \end{align*} $$
and hence, since
$\phi $
is increasing,
$\phi $
maps
$(k,k+1]$
into
$(({k+2+\sqrt {k^2+4}})/{2},k+2]$
. In particular,
$\phi $
does not map
$(k,k+1]$
onto
$(k+1,k+2]$
.
We use the map
$\phi $
to deduce some properties of the exceptional set E from their known counterparts for
$\beta \in (1,2]$
, culminating in Proposition 5.5 below.
Lemma 5.1. For any two Lyndon words
$ {\mathbf {S}}$
and
$ {\mathbf {S}}'$
, either
$J^ {\mathbf {S}}$
and
$J^{ {\mathbf {S}}'}$
are disjoint, or else one contains the other.
Proof. This was proved in [Reference Kalle, Kong, Langeveld and Li20] for
$J^ {\mathbf {S}}, J^{ {\mathbf {S}}'}\subseteq (1,2]$
; the extension to
$(1,\infty )$
is trivial.
Lemma 5.2. Let
$\beta \in E\cap (k,k+1]$
for
$k\in \mathbb {N}_{\geq 2}$
. Then,
$\alpha (\beta )\in \{k-1,k\}^{\mathbb {N}}$
.
Proof. For
$\beta \in (k,k+1]$
, the alphabet is
$A_\beta =\{0,1,\ldots ,k\}$
, so if the conclusion were false, there would be some integer
$n\geq 0$
such that
$\sigma ^n(\alpha (\beta ))\prec (k-1)^\infty $
. Let
$n_0\in \mathbb {N}$
be the smallest such n; then,
$\alpha _{n_0}=k$
and
$\alpha _1\cdots \alpha _{n_0}^-\in \{k-1,k\}^*$
, where
$\alpha (\beta )=\alpha _1\alpha _2\cdots $
. Since
$\beta \in E$
, we have
$\beta>\beta _r^{(k-1)}$
and so
$\alpha (\beta )\succ \alpha (\beta _r^{(k-1)})=k(k-1)^\infty $
. This implies
$n_0\geq 2$
.
Let
$ {\mathbf {S}}$
be the lexicographically smallest cyclic permutation of
$\alpha _1\cdots \alpha _{n_0}^-$
. Since
$\alpha _{j+1}\cdots \alpha _{n_0}^-\prec \alpha _{j+1}\cdots \alpha _{n_0}\preccurlyeq \alpha _1\cdots \alpha _{n_0-j}$
for all
$0\le j<n_0$
, the word
$ {\mathbf {S}}$
is not periodic and, hence, it is Lyndon. Furthermore,
$| {\mathbf {S}}|=n_0\geq 2$
and
$\mathbb {L}( {\mathbf {S}})=\alpha _1\cdots \alpha _{n_0}^-$
. Clearly,
$\alpha (\beta _\ell ^ {\mathbf {S}})=\mathbb {L}( {\mathbf {S}})^\infty =(\alpha _1\cdots \alpha _{n_0}^-)^\infty \prec \alpha (\beta )$
, so
$\beta>\beta _\ell ^ {\mathbf {S}}$
. Furthermore,
$\alpha (\beta _r^ {\mathbf {S}})=\mathbb {L}( {\mathbf {S}})^+ {\mathbf {S}}^\infty =\alpha _1\cdots \alpha _{n_0} {\mathbf {S}}^\infty \succ \alpha (\beta )$
because
$\alpha _{n_0+1}\alpha _{n_0+2}\cdots \prec (k-1)^\infty \preccurlyeq {\mathbf {S}}^\infty $
. Thus,
$\beta <\beta _r^ {\mathbf {S}}$
and so
$\beta \in J^ {\mathbf {S}}$
. Although
$ {\mathbf {S}}$
may not lie in
$\mathcal {F}_e$
, we claim that there is a word
$ {\mathbf {S}}'\in \mathcal {F}_e$
such that
$J^ {\mathbf {S}}\subseteq J^{ {\mathbf {S}}'}$
.
Let
$\tilde { {\mathbf {S}}}:=\theta ^{-(k-1)}( {\mathbf {S}})$
. Then,
$\tilde { {\mathbf {S}}}\in \{0,1\}^*$
because
$ {\mathbf {S}}\in \{k-1,k\}^*$
and so
$J^{\tilde { {\mathbf {S}}}}\subseteq (1,2]$
. As it was shown in [Reference Kalle, Kong, Langeveld and Li20, Proposition 4.7] that the intervals
$J^{ {\mathbf {r}}}: {\mathbf {r}}\in \mathcal {F}$
are the maximal Lyndon intervals in
$(1,2]$
, Lemma 5.1 implies that
$J^{\tilde {\mathbf {S}}}\subseteq J^ {\mathbf {r}}$
for some
$ {\mathbf {r}}\in \mathcal {F}$
. Put
$ {\mathbf {S}}':=\theta ^{k-1}( {\mathbf {r}})$
; then,
$ {\mathbf {S}}'\in \mathcal {F}_e$
and
$J^ {\mathbf {S}}\subseteq J^{ {\mathbf {S}}'}$
. However, this contradicts the assumption that
$\beta \in E$
.
Lemma 5.3. For each
$k\in \mathbb {N}_{\geq 2}$
,
Proof. If
$\beta \in E\cap (1,2]$
, then
$\beta ':=\phi ^{k-1}(\beta )\in (\beta _r^{(k-1)},k+1]$
. Suppose
$\beta '\not \in E$
; then
$\beta '\in J^ {\mathbf {s}}$
for some
$ {\mathbf {s}}\in \mathcal {F}_e$
. We cannot have
$ {\mathbf {s}}=k-1$
since
$\beta '>\beta _r^{(k-1)}$
. Hence,
$ {{\mathbf {s}}=\theta ^{k-1}( {\mathbf {r}})}$
for some
$ {\mathbf {r}}\in \mathcal {F}$
. However, then
$\beta \in J^ {\mathbf {r}}$
, which contradicts that
$\beta \in E$
. Therefore,
$\beta '\in E\cap (k,k+1]$
.
Conversely, let
$\beta \in E\cap (k,k+1]$
. Then,
$\alpha (\beta )\in \{k-1,k\}^{\mathbb {N}}$
by Lemma 5.2, and so
$\alpha (\beta )=\theta ^{k-1}(\alpha (\tilde {\beta }))$
for some
$\tilde {\beta }\in (1,2]$
. Equivalently,
$\beta =\phi ^{k-1}(\tilde {\beta })$
. If
$\tilde {\beta }\in J^ {\mathbf {r}}$
for some
$ {\mathbf {r}}\in \mathcal {F}$
, then
$\beta \in J^ {\mathbf {s}}$
, where
$ {\mathbf {s}}:=\theta ^{k-1}( {\mathbf {r}})$
, because the map
$\phi $
is increasing. This contradicts
$\beta \in E$
. Therefore,
$\beta \in \phi ^{k-1}(E\cap (1,2])$
.
We next prove that the restriction of
$\phi ^k$
to
$E\cap [1+\varepsilon ,2]$
is Lipschitz for every
$k\in \mathbb {N}$
and
$\varepsilon>0$
. Then it follows immediately that the Hausdorff dimension of
${E\cap (k+1,k+2]}$
is zero for all
$k\in \mathbb {N}$
, since
$\dim _H (E\cap (1,2])=0$
(see [Reference Allaart and Kong3, Proposition 5.6]).
Equip the Baire space
$(\mathbb {N}\cup \{0\})^{\mathbb {N}}$
with the metric
Lemma 5.4. For each
$k\in \mathbb {N}$
and
$\varepsilon>0$
, the restriction of
$\phi ^k$
to
$E\cap [1+\varepsilon ,2]$
is Hölder continuous with exponent
$\log \beta _r^{(k)}/{\log}\, 2$
. In particular, it is Lipschitz.
Proof. Fix
$\varepsilon>0$
. Then, there is a positive integer N such that, if
$\beta \in [1+\varepsilon ,2]$
,
$\sigma (\alpha (\beta ))$
begins with at most N consecutive 0s. If furthermore
$\beta \in E$
, then
$\alpha (\beta )$
is balanced (see [Reference Allaart and Kong4, Proposition 2.11]) and, hence, it does not contain the word
$0^{N+2}$
.
Now, let
$\beta _1,\beta _2\in E$
such that
$1+\varepsilon \leq \beta _1<\beta _2\leq 2$
. Then,
$\alpha (\beta _1)\prec \alpha (\beta _2)$
, so there exists
$n\in \mathbb {N}$
such that
$\alpha _1(\beta _1)\cdots \alpha _{n-1}(\beta _1)=\alpha _1(\beta _2)\cdots \alpha _{n-1}(\beta _2)$
and
$\alpha _n(\beta _1)<\alpha _n(\beta _2)$
. By the previous paragraph,
$\sigma ^n(\alpha (\beta _2))\succcurlyeq 0^{N+1}10^\infty $
. Hence, by Lemma 4.1, it follows that
$$ \begin{align*} {\sum_{i=1}^n \frac{\alpha_i(\beta_2)}{\beta_1^i}\ge\sum_{i=1}^\infty \frac{\alpha_i(\beta_1)}{\beta^i_1}=\ }1=\sum_{i=1}^\infty \frac{\alpha_i(\beta_2)}{\beta_2^i}\geq \sum_{i=1}^n \frac{\alpha_i(\beta_2)}{\beta_2^i}+\frac{1}{\beta_2^{n+N+2}}. \end{align*} $$
This gives
$$ \begin{align*} \frac{1}{\beta_2^{n+N+2}}\leq \sum_{i=1}^n\bigg(\frac{\alpha_i(\beta_2)}{\beta_1^i}- \frac{\alpha_i(\beta_2)}{\beta_2^i}\bigg)\le\frac{1}{\beta_1-1}-\frac{1}{\beta_2-1}\le \frac{\beta_2-\beta_1}{\varepsilon^2} \end{align*} $$
and, hence,
Next, observe that
$\inf \phi ^k((1,2])=\beta _r^{(k)}$
, because
$\alpha (\beta _r^{(k)})=(k+1)k^\infty =\theta ^k(10^\infty )$
. Put
$\beta _1':=\phi ^k(\beta _1)$
and
$\beta _2':=\phi ^k(\beta _2)$
. Then,
$\alpha (\beta _1'),\alpha (\beta _2')\in \{k,k+1\}^{\mathbb {N}}$
, and
$\beta _r^{(k)}<\beta _1'<\beta _2'\leq k+2$
. Let n be as in the first part of the proof. Note that
$\rho (\alpha (\beta _1'),\alpha (\beta _2'))=\rho (\alpha (\beta _1),\alpha (\beta _2))=2^{-n}$
. Then, exactly as in the proof of [Reference Allaart, Baker and Kong2, Lemma 3.7], we obtain
where
$C_k=(k+2)^2$
. Combining this with (5.1) yields
$$ \begin{align*} \phi^k(\beta_2)-\phi^k(\beta_1)&=\beta_2'-\beta_1'\leq C_k[\rho(\alpha(\beta_1),\alpha(\beta_2))]^{\log\beta_r^{(k)}/{\log}\, 2}\\ &\leq C_k\bigg[\frac{2^{N+2}}{\varepsilon^2}(\beta_2-\beta_1)\bigg]^{\log\beta_r^{(k)}/{\log}\, 2}=C_{k,\varepsilon}(\beta_2-\beta_1)^{\log\beta_r^{(k)}/{\log}\, 2} \end{align*} $$
for a constant
$C_{k,\varepsilon }$
, and the proof is complete.
Proposition 5.5. We have
$\dim _P E=0$
.
Proof. Fix
$k\in \mathbb {N}$
. We showed in [Reference Allaart and Kong3] that
$\dim _B(E\cap (1+\varepsilon ,2])=0$
for every
$\varepsilon>0$
. Thus, by Lemmas 5.3 and 5.4, it follows that
$\dim _B(E\cap (\beta _r^{(k)}+\varepsilon ,k+2])=0$
for each
$\varepsilon>0$
and
$k\in \mathbb {N}$
, because Lipschitz images do not increase box dimension. Take a sequence
$(\varepsilon _n)$
decreasing to
$0$
. Then,
and hence,
$\dim _P(E\cap (k+1,k+2])=0$
. Since packing dimension is countably stable, taking the union over
$k\in \mathbb {N}$
yields
$\dim _P E=0$
.
Next, for
$ {\mathbf {S}}\in \Lambda _e$
, we recall the definition of the map
$\Psi _ {\mathbf {S}}$
from (3.2). Note that for each
$ {\mathbf {r}}\in \mathcal {F}$
,
$\Psi _ {\mathbf {S}}(\beta _\ell ^ {\mathbf {r}})=\beta _\ell ^{ {\mathbf {S}}\bullet {\mathbf {r}}}$
and
$\Psi _ {\mathbf {S}}(\beta _r^ {\mathbf {r}})=\beta _r^{ {\mathbf {S}}\bullet {\mathbf {r}}}$
. Furthermore,
$\Psi _ {\mathbf {S}}$
is strictly increasing. It follows as in the proof of [Reference Allaart and Kong3, Proposition 5.4] that
(Some care must be taken to ensure that, if
$\beta \in E^ {\mathbf {S}}$
, then
$\beta $
lies in the range of
$\Psi _ {\mathbf {S}}$
. It turns out, however, that the gaps in the range of
$\Psi _ {\mathbf {S}}$
are contained in the intervals
$J^{ {\mathbf {S}}\bullet {\mathbf {r}}}, {\mathbf {r}}\in \mathcal {F}$
; see [Reference Allaart and Kong3] for the details. Note that, unlike in [Reference Allaart and Kong3], here,
$2\not \in E$
, so the above representation is slightly more awkward.)
Lemma 5.6. For each
$\varepsilon>0$
, the restriction of
$\Psi _ {\mathbf {S}}$
to
$E\cap [1+\varepsilon ,2]$
is Hölder continuous with exponent
$\log \beta _*^ {\mathbf {S}}/{\log}\, 2$
.
Proof. The proof is nearly identical to that of Lemma 5.4. Here, we set
$\beta _i':=\Psi _ {\mathbf {S}}(\beta _i)$
for
$i=1,2$
, and note that
$\beta _*^ {\mathbf {S}}<\beta _1'<\beta _2'\leq \beta _r^ {\mathbf {S}}$
. The rest of the proof proceeds in the same way.
Corollary 5.7. For each
$ {\mathbf {S}}\in \Lambda _e$
, we have
$\dim _P E^ {\mathbf {S}}=0$
.
Remark 5.8. The slightly stronger statement that
$\dim _B E^ {\mathbf {S}}=0$
follows in the same way as in [Reference Allaart and Kong3, Proposition 5.6(ii)] and we omit the proof here. We must, however, rectify something at this point. In the proof of the above-mentioned proposition, we used the following fact (see [Reference Falconer18, Proposition 3.6]): if
$I,I_1,I_2,\ldots $
are intervals such that
$I_k\subseteq I$
for each k,
$\sum _k|I_k|=|I|$
, and
$I_1,I_2,\ldots $
are pairwise disjoint and arranged in order of decreasing length, then
$\overline {\dim }_B (I\backslash \bigcup _k I_k)\leq 1/b$
, where
$b=-\limsup _{k\to \infty }(\log |I_k|/{\log}\, k)$
. Unfortunately, in [Reference Allaart and Kong3], we forgot to check that
$\sum _{ {\mathbf {r}}\in \mathcal {F}}|J^{ {\mathbf {S}}\bullet {\mathbf {r}}}|=|J^ {\mathbf {S}}\backslash I^ {\mathbf {S}}|=\beta _r^ {\mathbf {S}}-\beta _*^ {\mathbf {S}}$
. This is now a consequence of Corollary 5.7.
Proposition 5.9. We have that
$\dim _H E_\infty =0$
.
Proof. We showed in [Reference Allaart and Kong3, Proposition 5.8] that
$\dim _H(E_\infty \cap (1,2])=0$
. So, if we can establish the equality
$$ \begin{align} E_\infty=\bigcup_{ {\mathbf{s}}\in\mathcal{F}_e} \Psi_ {\mathbf{s}}(E_\infty\cap(1,2)), \end{align} $$
the proposition will follow from Lemma 5.6, together with the countable stability of Hausdorff dimension, by an argument similar to that in the proof of Proposition 5.5.
If
$\beta \in E_\infty $
, then there exist a word
$ {\mathbf {s}}\in \mathcal {F}_e$
and a sequence
$( {\mathbf {r}}_n)$
in
$\mathcal {F}$
such that
$\beta \in J^{ {\mathbf {s}}\bullet {\mathbf {r}}_1\bullet \cdots \bullet {\mathbf {r}}_n}$
for every n. Since
$\beta $
is clearly not the left endpoint of such an interval, this implies that
$\alpha (\beta )$
begins with
$\mathbb {L}( {\mathbf {s}}\bullet {\mathbf {r}}_1\bullet \cdots \bullet {\mathbf {r}}_n)^+=\Phi _ {\mathbf {s}}(\mathbb {L}( {\mathbf {r}}_1\bullet \cdots \bullet {\mathbf {r}}_n)^+)$
for each n. Since furthermore
$| {\mathbf {r}}_1\bullet \cdots \bullet {\mathbf {r}}_n|\to \infty $
as
$n\to \infty $
, it follows that
and so,
$\beta =\Psi _ {\mathbf {s}}(\hat {\beta })$
for some
$\hat {\beta }\in (1,2)$
. It is easy to see that
$\hat {\beta }\in E_\infty $
with coding
$ {\mathbf {r}}_1, {\mathbf {r}}_2,\ldots. $
Hence,
$E_\infty \subseteq \bigcup _{ {\mathbf {s}}\in \mathcal {F}_e} \Psi _ {\mathbf {s}}(E_\infty \cap (1,2))$
.
Conversely, let
$\beta \in \bigcup _{ {\mathbf {s}}\in \mathcal {F}_e} \Psi _ {\mathbf {s}}(E_\infty \cap (1,2))$
; then,
$\beta =\Psi _ {\mathbf {s}}(\hat {\beta })$
for some
$ {\mathbf {s}}\in \mathcal {F}_e$
and
${\hat {\beta }\in E_\infty \cap (1,2)}$
. Let
$( {\mathbf {r}}_n)\in \mathcal {F}^{\mathbb {N}}$
be the coding of
$\hat {\beta }$
. Then,
$\beta \in E_\infty $
with coding
$ {\mathbf {s}}, {\mathbf {r}}_1, {\mathbf {r}}_2, \ldots. $
Theorem 3.2 now follows from Proposition 5.5, Remark 5.8, and Proposition 5.9.
6. Proof of Theorem 3.4
Recall the definitions of the sets
$\Lambda $
and
$\Lambda _e$
from (2.5) and (2.6), respectively.
Proof of Proposition 3.1
Statement (i) was proved in [Reference Kalle, Kong, Langeveld and Li20, Proposition 4.7] for Farey intervals in
$(1,2]$
. The extension to
$(1,\infty )$
is easy.
For statement (ii), let
$ {\mathbf {S}}\in \Lambda _e$
and
$ {\mathbf {r}}_1, {\mathbf {r}}_2\in \mathcal {F}$
with
$ {\mathbf {r}}_1\neq {\mathbf {r}}_2$
. Then, we have
Since
$\Psi _ {\mathbf {S}}$
is strictly increasing and the intervals
$J^{ {\mathbf {r}}_1}=[\beta _\ell ^{ {\mathbf {r}}_1},\beta _r^{ {\mathbf {r}}_1}]$
and
$J^{r_2}=[\beta _\ell ^{ {\mathbf {r}}_2},\beta _r^{ {\mathbf {r}}_2}]$
are disjoint by statement (i), it follows that the intervals
$J^{ {\mathbf {S}}\bullet {\mathbf {r}}_1}$
and
$J^{ {\mathbf {S}}\bullet {\mathbf {r}}_2}$
are disjoint as well.
Finally, we prove statement (iii). Given
$ {\mathbf {S}}, {\mathbf {S}}'\in \Lambda _e$
with
$ {\mathbf {S}}\neq {\mathbf {S}}'$
, the intervals
$J^ {\mathbf {S}}$
and
$J^{ {\mathbf {S}}'}$
are either disjoint or else one contains the other, by Lemma 5.1. If they are disjoint, then of course
$I^ {\mathbf {S}}$
and
$I^{ {\mathbf {S}}'}$
are also disjoint. If, say,
$J^{ {\mathbf {S}}'}\subseteq J^ {\mathbf {S}}$
, then
$ {\mathbf {S}}'= {\mathbf {S}}\bullet \mathbf {R}$
for some
$\mathbf {R}\in \Lambda $
, so
$I^{ {\mathbf {S}}'}\subseteq J^{ {\mathbf {S}}'}\subseteq J^ {\mathbf {S}}\backslash I^ {\mathbf {S}}$
, and again
$I^ {\mathbf {S}}$
and
$I^{ {\mathbf {S}}'}$
are disjoint.
Remark 6.1. For
$ {\mathbf {S}}\in \Lambda $
, statements (ii) and (iii) were proved respectively in [Reference Allaart and Kong3, Proposition 5.1 and Remark 5.2].
Recall that the survivor set
$K_\beta (t)$
consists of all
$x\in [0,1)$
whose orbit
$\{T^n_\beta (x): n\ge 0\}$
avoids the hole
$[0,t)$
. To describe the dimension of
$K_\beta (t)$
, we introduce an analogous set in the symbolic space. The idea is as follows. By Lemma 4.2, a sequence
$\mathbf {z}\in A_\beta ^{\mathbb {N}}$
is the greedy expansion of some element of
$K_\beta (t)$
if and only if
$\mathbf {z}$
belongs to the set
This set is in general not a subshift, and hence, we enlarge it slightly to obtain the set
Observe that
$\widetilde {\mathcal K}_\beta (t)\backslash \mathcal K_\beta (t)$
is at most countable, and
$\widetilde {\mathcal K}_\beta (t)$
is a subshift of
$A_\beta ^{\mathbb {N}}$
because it is closed and invariant under
$\sigma $
. (We could instead use the topological closure of
$\mathcal K_\beta (t)$
, which is also a subshift and is sometimes a proper subset of
$\widetilde {\mathcal K}_\beta (t)$
. However, the explicit characterization of
$\widetilde {\mathcal K}_\beta (t)$
makes this set easier to work with.)
For a subshift X of the full shift
$A_\beta ^{\mathbb {N}}$
, its topological entropy
$h_{\mathrm {top}}(X)$
may be defined by
where
$N_n(X)$
denotes the number of words of length n occurring in sequences of X. The following result can be deduced from Raith [Reference Raith26] (see also [Reference Kalle, Kong, Langeveld and Li20] for the case
$\beta \in (1,2]$
).
Lemma 6.2. Given
$\beta>1$
and
$t\in [0,1)$
, the Hausdorff dimension of
$K_\beta (t)$
is given by
$$ \begin{align*} \dim_H K_\beta(t) =\frac{h_{\mathrm{top}}(\widetilde{\mathcal K}_\beta(t))}{\log\beta}. \end{align*} $$
Thus, it is sufficient to study the size of the symbolic survivor set
$\widetilde {K}_\beta (t)$
. The following lemma is crucial in this respect.
Lemma 6.3. Let
$ {\mathbf {S}}\in \Lambda _e$
and let
$M\in \mathbb {N}$
be such that
$J^ {\mathbf {S}}\subseteq [M,M+1)$
. Then, the set
is countable.
This was first proved in [Reference Allaart and Kong3, Proposition 4.1] for the case when
$ {\mathbf {S}}= {\mathbf {s}}_1\bullet \cdots \bullet {\mathbf {s}}_n$
with each
$ {\mathbf {s}}_i\in \mathcal {F}$
(corresponding to
$M=1$
). A much shorter proof can be found in [Reference Allaart and Kong4, Lemma 7.3]. The proof goes through without change when
$ {\mathbf {s}}_1\in \mathcal {F}_e$
.
Proof of Theorem 3.4(i)
The proof is mostly the same as that of [Reference Allaart and Kong3, Theorem 2], so we only give a sketch. Fix a basic interval
$I^ {\mathbf {S}}=[\beta _\ell ^ {\mathbf {S}}, \beta _*^ {\mathbf {S}}]$
. Take
$\beta \in I^ {\mathbf {S}}$
and let
$t^*=( {\mathbf {S}}^- {\mathbf {A}}^\infty )_\beta $
, where
$ {\mathbf {A}}=\mathbb {L}( {\mathbf {S}})=:a_1\cdots a_m$
. Then,
First, we prove
$\tau (\beta )\ge t^*$
. We consider two cases: (a)
$| {\mathbf {S}}|\geq 2$
and (b)
$| {\mathbf {S}}|=1$
.
(a) Suppose first that
$| {\mathbf {S}}|=m\geq 2$
. Let
$j<m$
be the integer such that
$ {\mathbf {S}}=a_{j+1}\cdots a_m a_1\cdots a_j$
and for
$N\in \mathbb {N}$
, define
$t_N:= (( {\mathbf {S}}^- {\mathbf {A}}^N a_1\cdots a_j)^\infty )_\beta $
. It is not hard to verify that
$$ \begin{align*} & \sigma^n(( {\mathbf{S}}^- {\mathbf{A}}^N a_1\cdots a_j)^\infty) \\ & \quad = \sigma^n( {\mathbf{S}}^- {\mathbf{A}}^{N+1}(a_1\cdots a_j^- {\mathbf{A}}^{N+1})^\infty) \prec {\mathbf{A}}^\infty\preccurlyeq\alpha(\beta)\quad \text{ for all } n\ge 0. \end{align*} $$
So, by Lemma 4.2, we have
$b(t_N, \beta )=( {\mathbf {S}}^- {\mathbf {A}}^N a_1\cdots a_j)^\infty $
. This implies that
Hence,
$h_{\mathrm {top}}(\widetilde {\mathcal K}_\beta (t_N))>0$
, which, by Lemma 6.2, implies that
$\dim _H K_\beta (t_N)>0$
. Thus,
$\tau (\beta )\ge t_N$
for all
$N\ge 1$
. Since
$t_N\nearrow t^*$
as
$N\to \infty $
, we conclude that
$\tau (\beta )\ge t^*$
.
(b) If
$| {\mathbf {S}}|=1$
, then
$ {\mathbf {S}}= {\mathbf {A}}=k$
for some
$k\in \mathbb {N}$
. Without loss of generality, we take
$k=1$
; the proof for bigger k is the same up to a renaming of the digits. Here,
${\alpha (\beta )\succcurlyeq 1^\infty} $
and
$ {\mathbf {S}}^- {\mathbf {A}}^\infty =01^\infty $
. Put
$t_N:=((01^N)^\infty )_\beta $
. Clearly,
$b(t_N,\beta )=(01^N)^\infty $
. Furthermore,
$\mathcal K_\beta (t_N)\supseteq \{01^{N+1},01^{N+2}\}^{\mathbb {N}}$
, so
$h_{\mathrm {top}}(\widetilde {\mathcal K}_\beta (t_N))>0$
. We conclude as above.
Next, we prove
$\tau (\beta )\le t^*$
. From (6.3), we obtain
$$ \begin{align*} \mathcal K_\beta(t^*)&\subseteq\{\mathbf{z}\in A_\beta: {\mathbf{S}}^- {\mathbf{A}}^\infty\preccurlyeq \sigma^n(\mathbf{z})\prec {\mathbf{A}}^+ {\mathbf{S}}^- {\mathbf{A}}^\infty~\text{ for all } n\ge 0\}\\ &=\{\mathbf{z}\in A_\beta: {\mathbf{S}}^- {\mathbf{A}}^\infty\preccurlyeq \sigma^n(\mathbf{z})\preccurlyeq {\mathbf{A}}^\infty~\text{ for all } n\ge 0\}=:\Gamma. \end{align*} $$
By Lemma 6.3, the set
$\Gamma ( {\mathbf {S}})=\{\mathbf {z}\in A_\beta : {\mathbf {S}}^\infty \preccurlyeq \sigma ^n(\mathbf {z})\preccurlyeq {\mathbf {A}}^\infty ~\text { for all } n\ge 0\}$
is countable. Since any sequence in
$\Gamma \setminus \Gamma ( {\mathbf {S}})$
must end with
$ {\mathbf {S}}^- {\mathbf {A}}^\infty $
,
$\Gamma $
is also countable and so is
$\mathcal K_\beta (t^*)$
. Thus,
$\tau (\beta )\le t^*$
.
For the next lemma, recall that
$a(t,\beta )$
and
$b(t,\beta )$
denote the quasi-greedy and greedy expansions of t in base
$\beta $
, respectively.
Lemma 6.4. Let
$M\in \mathbb {N}$
and
$M<\beta <\beta '\leq M+1$
. Then:
-
(i)
$a(\tau (\beta ),\beta )\preccurlyeq {a(\tau (\beta '),\beta ')}$
; -
(ii) if
$b(\tau (\beta ),\beta )$
is infinite, then also
.
Proof. (i) Observe first that, since
$\beta <\beta '$
,
$a(\tau (\beta ),\beta )$
is in fact the quasi-greedy
$\beta '$
-expansion of
$(a(\tau (\beta ),\beta ))_{\beta '}$
. Furthermore, by Lemma 4.3, the map
$t\mapsto a(t,\beta ')$
is strictly increasing. Since
$a(t,\beta ')=b(t,\beta ')$
for all but countably many t, there is for each
$\varepsilon>0$
, a number t with
such that
$b(t,\beta ')=a(t,\beta ')\prec a(\tau (\beta ),\beta )$
. Since the map
$t\mapsto a(t,\beta )$
is in addition left-continuous by Lemma 4.3, there exists a point
$t_1<\tau (\beta )$
such that
We then have (noting that
$A_\beta =A_{\beta '}=\{0,1,\ldots ,M\}$
)
$$ \begin{align*} \mathcal K_{\beta'}(t)&=\{\mathbf{z}\in A_{\beta'}^{\mathbb{N}}: b(t,\beta')\preccurlyeq \sigma^n(\mathbf{z})\prec\alpha(\beta')\ \text{ for all } n\geq 0\}\\ &\supseteq \{\mathbf{z}\in A_\beta^{\mathbb{N}}: b(t_1,\beta)\preccurlyeq \sigma^n(\mathbf{z})\prec\alpha(\beta)\ \text{ for all } n\geq 0\}\\ &=\mathcal K_\beta(t_1). \end{align*} $$
Since
$t_1<\tau (\beta )$
, this shows, via Lemma 6.2, that
$\dim _H K_{\beta '}(t)>0$
. Hence,
$\tau (\beta ')\geq t$
. Letting
$\varepsilon \searrow 0$
, we have that
$t\nearrow (a(\tau (\beta ),\beta ))_{\beta '}$
. Therefore,
$a(\tau (\beta '),\beta ')\succcurlyeq a(\tau (\beta ),\beta )$
.
(ii) Since
$b(\tau (\beta ),\beta )$
is infinite, the map
$t\mapsto b(t,\beta )$
is continuous at
$\tau (\beta )$
. Thus, if
$t<(b(\tau (\beta ),\beta ))_{\beta '}$
, we can find a point
$t_1<\tau (\beta )$
such that
$b(t,\beta ')\prec b(t_1,\beta )\prec b(\tau (\beta ),\beta )$
. As in the proof of part (i) above, it follows that
$\dim _H K_{\beta '}(t)>0$
. Hence,
$\tau (\beta ')\geq (b(\tau (\beta ),\beta )_{\beta '}$
since
$b(\tau (\beta ),\beta )$
is the greedy
$\beta '$
-expansion of
$(b(\tau (\beta ),\beta ))_{\beta '}$
. This implies
$b(\tau (\beta '),\beta ')\succcurlyeq b(\tau (\beta ),\beta )$
.
Remark 6.5. The conclusion of part (ii) fails when
$b(\tau (\beta ),\beta )$
is finite: take
$\beta =\beta _\ell ^ {\mathbf {S}}$
for any
$ {\mathbf {S}}\in \Lambda _e$
and
$\beta '\in (\beta _\ell ^ {\mathbf {S}},\beta _*^ {\mathbf {S}}]$
. Then,
$b(\tau (\beta ),\beta )= {\mathbf {S}} 0^\infty \succ {\mathbf {S}}^-\mathbb {L}( {\mathbf {S}})^\infty =b(\tau (\beta '),\beta ')$
.
Lemma 6.6. For each
$ {\mathbf {S}}\in \Lambda _e$
and
$\beta \in J^ {\mathbf {S}}$
, we have
Proof. If
$\beta =\beta _\ell ^ {\mathbf {S}}$
, then
$b(\tau (\beta ),\beta )= {\mathbf {S}} 0^\infty $
by Theorem 3.4(i). Suppose
$\beta \in (\beta _\ell ^ {\mathbf {S}},\beta _r^ {\mathbf {S}}]$
. Then,
$\alpha (\beta )$
begins with
$\mathbb {L}( {\mathbf {S}})^+$
, so both
$ {\mathbf {S}}^-\mathbb {L}( {\mathbf {S}})^\infty $
and
$ {\mathbf {S}} 0^\infty $
are greedy
$\beta $
-expansions by Lemma 4.2. Thus, the first inequality follows immediately from Lemma 6.4(ii), by considering any point
$\tilde {\beta }\in (\beta _\ell ^ {\mathbf {S}},\beta )$
and noting that
$b(\tau (\tilde {\beta }),\tilde {\beta })= {\mathbf {S}}^-\mathbb {L}( {\mathbf {S}})^\infty $
. However, if
$t\geq ( {\mathbf {S}} 0^\infty )_\beta $
, then
$$ \begin{align*} \mathcal K_\beta(t)&\subseteq \{\mathbf{z}\in A_\beta^{\mathbb{N}}: {\mathbf{S}} 0^\infty\preccurlyeq \sigma^n(\mathbf{z})\prec \mathbb{L}( {\mathbf{S}})^+ {\mathbf{S}}^\infty\ \text{ for all } n\geq 0\}\\ &=\{\mathbf{z}\in A_\beta^{\mathbb{N}}: {\mathbf{S}}^\infty\preccurlyeq \sigma^n(\mathbf{z})\preccurlyeq \mathbb{L}( {\mathbf{S}})^\infty\ \text{ for all } n\geq 0\}, \end{align*} $$
so
$\mathcal K_\beta (t)$
is countable by Lemma 6.3. Hence,
$\tau (\beta )\leq ( {\mathbf {S}} 0^\infty )_\beta $
, which implies
${b(\tau (\beta ),\beta ) \preccurlyeq {\mathbf {S}} 0^\infty }$
.
Proof of Theorem 3.4(ii)
We first show that
$\tau (\beta )=1-({1}/{\beta })$
for
$\beta \in E_L$
. If
$\beta =\beta _\ell ^ {\mathbf {s}}$
for some
$ {\mathbf {s}}\in \mathcal {F}_e$
, then
$\tau (\beta )=( {\mathbf {s}}^-\mathbb {L}( {\mathbf {s}})^\infty )_\beta =(\mathbb {L}( {\mathbf {s}})^\infty )_\beta -({1}/{\beta })=1-({1}/{\beta })$
, where the first equality follows from Theorem 3.4(i) and the second from Lemma 2.1.
Suppose now that
$\beta \in E$
. Since
$\dim _H E=0$
, the intervals
$J^ {\mathbf {r}}: {\mathbf {r}}\in \mathcal {F}_e$
are dense in
$(1,\infty )$
, so there is a sequence
$( {\mathbf {r}}_n)$
in
$\mathcal {F}_e$
such that
$\beta _*^{ {\mathbf {r}}_n}\nearrow \beta $
. Note that
and
We may assume that
$\beta _*^{ {\mathbf {r}}_n}$
and
$\beta $
lie in the same interval
$(M,M+1]$
, where
$M\in \mathbb {N}$
. Therefore, by Lemma 6.4(ii),
Next, observe that
where the second equality follows from the left-continuity of the map
$\gamma \mapsto \alpha (\gamma )$
; see Lemma 4.1(ii). Since each
$ {\mathbf {r}}_n$
is a Farey word and
$| {\mathbf {r}}_n|\to \infty $
as
$n\to \infty $
, this implies by Lemma 2.1 that
$\lim _{n\to \infty } {\mathbf {r}}_n=0\alpha _2\alpha _3\cdots $
. Hence, from (6.4), we obtain
Now, we observe that
$0\alpha _2\alpha _3\cdots $
is a greedy
$\beta $
-expansion, since
$\sigma ^n(0\alpha _2\alpha _3\cdots ) \prec \alpha _1\alpha _2\cdots =\alpha (\beta )$
for all
$n\geq 0$
, with strict inequality because
$\alpha (\beta )$
is not periodic. Hence, (6.5) implies
For the reverse inequality, note that there is a sequence
$( {\mathbf {r}}_n')$
of Farey words such that
$\beta _*^{ {\mathbf {r}}_n'}\searrow \beta $
. By the same reasoning as above, but this time using Lemma 6.4(i), we obtain
$$ \begin{align*} a(\tau(\beta),\beta)\preccurlyeq 0\alpha_2\alpha_3\cdots=a\bigg(1-\frac{1}{\beta},\beta\bigg). \end{align*} $$
Hence,
$\tau (\beta )\leq 1-({1}/{\beta })$
.
Next, suppose
$\beta \not \in E_L$
. Then,
$\beta \in J^ {\mathbf {s}}\backslash \{\beta _\ell ^ {\mathbf {s}}\}$
for some
$ {\mathbf {s}}\in \mathcal {F}_e$
, so
$\alpha (\beta )\succ \mathbb {L}( {\mathbf {s}})^+0^\infty $
. By Lemma 6.6,
$b(\tau (\beta ),\beta )\preccurlyeq {\mathbf {s}} 0^\infty $
. As a result,
where the equality follows from Lemma 2.1.
Proof of Theorem 3.4(iii)
Let
$\beta \in E^ {\mathbf {S}}$
. Since
$\dim _B E^ {\mathbf {S}}=0$
, the intervals
$J^{ {\mathbf {S}}\bullet {\mathbf {r}}}: {\mathbf {r}}\in \mathcal {F}$
are dense in
$J^ {\mathbf {S}}\backslash I^ {\mathbf {S}}$
, and hence, there is a sequence
$( {\mathbf {r}}_n)$
of Farey words such that
${\beta _*^{ {\mathbf {S}}\bullet {\mathbf {r}}_n}\nearrow \beta }$
. Note that
and by Theorem 3.4(i),
Therefore, by Lemma 6.4(ii),
Next, the continuity of
$\Phi _ {\mathbf {S}}$
and the left-continuity of
$\alpha $
imply
$$ \begin{align*} \Phi_ {\mathbf{S}}(1\alpha_2\alpha_3\cdots)&=\Phi_ {\mathbf{S}}(\alpha(\hat{\beta}))=\alpha(\beta)=\lim_{n\to\infty}\alpha(\beta_*^{ {\mathbf{S}}\bullet {\mathbf{r}}_n})\\ &=\lim_{n\to\infty}\Phi_ {\mathbf{S}}(\mathbb{L}( {\mathbf{r}}_n)^+ {\mathbf{r}}_n^-\mathbb{L}( {\mathbf{r}}_n)^\infty)=\Phi_ {\mathbf{S}}(\lim_{n\to\infty}\mathbb{L}( {\mathbf{r}}_n)^+ {\mathbf{r}}_n^-\mathbb{L}( {\mathbf{r}}_n)^\infty). \end{align*} $$
Recalling that
$\Phi _ {\mathbf {S}}$
is injective, it follows that
$\lim _{n\to \infty }\mathbb {L}( {\mathbf {r}}_n)^+ {\mathbf {r}}_n^-\mathbb {L}( {\mathbf {r}}_n)^\infty =1\alpha _2\alpha _3\cdots $
. Since each
$ {\mathbf {r}}_n$
is a Farey word and
$| {\mathbf {r}}_n|\to \infty $
as
$n\to \infty $
, this implies by Lemma 2.1 that
$\lim _{n\to \infty } {\mathbf {r}}_n=0\alpha _2\alpha _3\cdots $
. Hence, from (6.6) and the continuity of
$\Phi _ {\mathbf {S}}$
, we obtain
From here, we consider two cases.
Case 1.
$\beta <\beta _r^ {\mathbf {S}}$
. Then,
$\hat {\beta }<2$
and so
$0\alpha _2\alpha _3\cdots $
is a greedy
$\hat {\beta }$
-expansion by Lemma 4.2, since
$\sigma ^n(0\alpha _2\alpha _3\cdots )\prec \alpha _1\alpha _2\cdots =\alpha (\hat {\beta })$
for all
$n\geq 0$
, with strict inequality because
$\alpha (\hat {\beta })$
is not periodic. This implies
$\Phi _ {\mathbf {S}}(0\alpha _2\alpha _3\cdots )$
is also a greedy
$\beta $
-expansion. Hence, (6.7) implies
For the reverse inequality, note that there is a sequence
$( {\mathbf {r}}_n')$
of Farey words such that
$\beta _*^{ {\mathbf {S}}\bullet {\mathbf {r}}_n'}\searrow \beta $
. By the same reasoning as above, but this time using Lemma 6.4(i), we obtain
Letting
$t^*:=(\Phi _ {\mathbf {S}}(0\alpha _2\alpha _3\cdots ))_\beta $
, we have
$a(t^*,\beta )=b(t^*,\beta )=\Phi _ {\mathbf {S}}(0\alpha _2\alpha _3\cdots )$
. Hence,
$\tau (\beta )\leq t^*$
.
Case 2.
$\beta =\beta _r^ {\mathbf {S}}$
. Then,
$\hat {\beta }=2$
, so
$0\alpha _2\alpha _3\cdots =01^\infty $
and (6.7) gives
However, since
$\alpha (\beta )=\alpha (\beta _r^ {\mathbf {S}})=\mathbb {L}( {\mathbf {S}})^+ {\mathbf {S}}^\infty $
, this implies
$b(\tau (\beta ),\beta )\succcurlyeq {\mathbf {S}} 0^\infty $
. The reverse inequality follows from Lemma 6.6. Thus,
$b(\tau (\beta ),\beta )= {\mathbf {S}} 0^\infty $
and so
This completes the proof.
Proof of Theorem 3.4(iv)
Put
$ {\mathbf {S}}_n:= {\mathbf {s}}_1\bullet {\mathbf {s}}_2\bullet \cdots \bullet {\mathbf {s}}_n$
. Then,
$\beta \in J^{ {\mathbf {S}}_n}$
for each n, so by Lemma 6.6,
Letting
$n\to \infty $
gives
$b(\tau (\beta ),\beta )=\lim _{n\to \infty } {\mathbf {S}}_n 0^\infty $
, from which the theorem follows.
7. The set-valued bifurcation set
Recall from §1 the set-valued bifurcation set
To prove Theorem 1.2, we need a few lemmas. The first one can be proved in the same way as [Reference Kalle, Kong, Langeveld and Li20, Proposition 3.3].
Lemma 7.1. Let
$\beta>1$
. If t is an isolated point of
$\mathscr {E}_\beta $
, then its greedy expansion
$b(t,\beta )$
is periodic.
The next result can be deduced similarly to [Reference Kalle, Kong, Langeveld and Li20, Proposition 3.10]. Recall that for a Lyndon word
$ {\mathbf {s}}\in \mathcal L_e$
, the Lyndon interval generated by
$ {\mathbf {s}}$
is
$J^{ {\mathbf {s}}}=[\beta _\ell ^ {\mathbf {s}}, \beta _r^ {\mathbf {s}}]$
, where
Lemma 7.2. Let
$J^ {\mathbf {s}}=[\beta _\ell ^ {\mathbf {s}}, \beta _r^ {\mathbf {s}}]$
be a Lyndon interval generated by
$ {\mathbf {s}}\in \mathcal L_e$
.
-
(i)
$\sigma ^n( {\mathbf {s}}^\infty )\prec \alpha (\beta )$
for all
$n\geq 0$
if and only if
$\beta>\beta _\ell ^ {\mathbf {s}}$
. -
(ii) If
$\beta \in (\beta _\ell ^ {\mathbf {s}}, \beta _r^ {\mathbf {s}}]$
, then
$( {\mathbf {s}}^\infty )_\beta $
is isolated in
$\mathscr {E}_\beta $
. -
(iii) If
$\beta>\beta _r^ {\mathbf {s}}$
, then
$( {\mathbf {s}}^\infty )_\beta $
is not isolated in
$\mathscr {E}_\beta $
.
Finally, we need the following property of
$\alpha (\beta )$
from [Reference Schmeling27].
Lemma 7.3. For Lebesgue-almost every
$\beta \in (1,\infty )$
, the quasi-greedy expansion
$\alpha (\beta )$
contains arbitrarily long strings of consecutive zeros.
Proof of Theorem 1.2
Statement (i) is proved in [Reference Allaart and Kong4, Lemma 3.1]. Statement (ii) follows by an easy adaptation of the proof of [Reference Kalle, Kong, Langeveld and Li20, Proposition 2.7]. In fact, the argument in that proof shows that
$\dim _H (\mathscr {E}_\beta \cap [0,\delta ])=1$
for any
$\delta>0$
and
$\beta>1$
. This implies that
$\mathscr {E}_\beta $
contains infinitely many accumulation points arbitrarily close to zero for every
$\beta>1$
. Hence, to prove statement (iii), it suffices to show that
$\mathscr {E}_\beta $
contains infinitely many isolated points in any neighborhood of
$0$
for Lebesgue-almost all
$\beta>1$
.
Take
$\beta>1$
such that
$\alpha (\beta )$
contains arbitrarily long strings of consecutive zeros. By Lemma 7.3, it suffices to prove that
$\mathscr {E}_\beta $
contains a sequence of isolated points decreasing to zero. Write
where each
$ {\mathbf {b}}_i$
contains no digit
$0$
and each
$m_i\in \mathbb {N}=\{1,2,\ldots \}$
. Since
$\alpha (\beta )$
contains arbitrarily long strings of consecutive zeros, we have
$\sup _k m_k=+\infty $
.
Set
$i_0=1$
and let
$i_1>i_0$
be the smallest index such that
$m_{i_1}>m_1$
. Then,
$m_{i_1}>m_j$
for all
$j<i_1$
. Set
and let
$ {\mathbf {s}}_1:=\mathbb {S}( \mathbf {a}_1):=$
the lexicographically smallest cyclical permutation of
$ \mathbf {a}_1$
. Since
$\sigma ^n(\alpha (\beta ))\preccurlyeq \alpha (\beta )$
for all
$n\ge 0$
, it follows that
$ \mathbf {a}_1$
is not periodic and so
$ {\mathbf {s}}_1$
is Lyndon. Furthermore, by the definition of
$i_1$
, it follows that
$ {\mathbf {s}}_1$
begins with
$0^{m_{1}}d_1$
for some digit
$d_1>0$
. We claim that
where
$[\beta _\ell ^{ {\mathbf {s}}_1}, \beta _r^{ {\mathbf {s}}_1}]$
is the Lyndon interval generated by
$ {\mathbf {s}}_1$
. Note that
$\alpha (\beta _\ell ^{ {\mathbf {s}}_1})=\mathbb {L}( {\mathbf {s}}_1)^\infty = \mathbf {a}_1^\infty $
and
$\alpha (\beta _r^{ {\mathbf {s}}_1})=\mathbb {L}( {\mathbf {s}}_1)^+ {\mathbf {s}}_1^\infty = \mathbf {a}_1^+ {\mathbf {s}}_1^\infty $
. By (7.1) and the fact that
$m_{i_1}>m_1$
, it follows that
$$ \begin{align*} \mathbf{a}_1^\infty=( {\mathbf{b}}_1 0^{m_1}\cdots {\mathbf{b}}_{i_1}^-)^\infty\prec \alpha(\beta)&= {\mathbf{b}}_1 0^{m_1}\cdots {\mathbf{b}}_{i_1}0^{m_{i_1}}\cdots\\ &\prec {\mathbf{b}}_1 0^{m_1}\cdots {\mathbf{b}}_{i_1}0^{m_1}10^\infty \preccurlyeq \mathbf{a}_1^+ {\mathbf{s}}_1^\infty. \end{align*} $$
Thus,
$\beta \in (\beta _\ell ^{ {\mathbf {s}}_1}, \beta _r^{ {\mathbf {s}}_1})$
by Lemma 4.1, establishing the claim. By Lemma 7.2(ii), it follows that
$( {\mathbf {s}}_1^\infty )_\beta $
is isolated in
$\mathscr {E}_\beta $
.
Proceeding inductively, suppose
$i_1,\ldots ,i_{k-1}$
have been chosen. Let
$i_k>i_{k-1}$
be the smallest index such that
$m_{i_k}>m_{i_{k-1}}$
. By induction,
$m_{i_k}>m_j$
for all
$j<i_k$
. Set
$ {\mathbf {a}_k= {\mathbf {b}}_1 0^{m_1}\cdots {\mathbf {b}}_{i_k}^-}$
and
$ {\mathbf {s}}_k:=\mathbb {S}( \mathbf {a}_k)$
. Then,
$ {\mathbf {s}}_k$
is Lyndon and begins with
$0^{m_{i_{k-1}}}d_k$
for some digit
$d_k>0$
. By the same argument as above, we can show that
$\beta \in (\beta _\ell ^{ {\mathbf {s}}_k}, \beta _r^{ {\mathbf {s}}_k})$
and, thus,
$( {\mathbf {s}}_k^\infty )_\beta $
is isolated in
$\mathscr {E}_\beta $
.
This way, we construct a sequence of Lyndon words
$ {\mathbf {s}}_k$
,
$k\ge 1$
, such that
$\beta \in (\beta _\ell ^{ {\mathbf {s}}_k}, \beta _r^{ {\mathbf {s}}_k})$
, and
$( {\mathbf {s}}_k^\infty )_\beta $
is isolated in
$\mathscr {E}_\beta $
for all
$k\ge 1$
. Since
$ {\mathbf {s}}_k$
begins with
$0^{m_{i_{k-1}}}$
and
$m_{i_{k-1}}\to \infty $
as
$k\to \infty $
, it follows that
$( {\mathbf {s}}_k^\infty )_\beta \searrow 0$
as
$k\to \infty $
. This proves part (iii).
Finally, we prove part (iv). We will show that
${\mathscr {E}_\beta }$
contains no isolated points if and only if
$\beta \in E_L:=E\cup \{\beta _\ell ^ {\mathbf {s}}: {\mathbf {s}}\in \mathcal F_e\}$
. If
$\beta \in (1,\infty )\setminus E_L$
, then
$\beta \in (\beta _\ell ^ {\mathbf {s}},\beta _r^ {\mathbf {s}}]$
for some
$ {\mathbf {s}}\in \mathcal F_e$
, so Lemma 7.2(ii) implies that
$( {\mathbf {s}}^\infty )_\beta $
is an isolated point of
$\mathscr {E}_\beta $
.
Conversely, take
$\beta>1$
and suppose
$\mathscr {E}_\beta $
contains an isolated point t. Then, by Lemma 7.1, the greedy expansion
$b(t,\beta )$
is periodic, say
$b(t,\beta )=(b_1\cdots b_m)^\infty $
with m the minimal period. Since
$t\in \mathscr {E}_\beta $
, it follows from part (i) of the theorem and Lemma 4.2 that
In particular,
$ {\mathbf {b}}:=b_1\cdots b_m$
is a Lyndon word and, hence, it generates a Lyndon interval
$J^ {\mathbf {b}}=[\beta _\ell ^ {\mathbf {b}}, \beta _r^ {\mathbf {b}}]$
. By assumption,
$t=( {\mathbf {b}}^\infty )_\beta $
is isolated in
$\mathscr {E}_\beta $
. Then, by (7.2) and Lemma 7.2(i) and (iii), it follows that
$\beta \in (\beta _\ell ^ {\mathbf {b}}, \beta _r^ {\mathbf {b}}]$
. As in the last paragraph of the proof of Lemma 5.2, we conclude that there exists an
$ {\mathbf {s}}\in \mathcal F_e$
such that
$\beta \in (\beta _\ell ^ {\mathbf {s}}, \beta _r^ {\mathbf {s}}]$
. This means
$\beta \notin E_L$
, completing the proof.
8. Connection with the ‘times k’ map with multiple holes
As pointed out by the referee, the survivor set
$K_\beta (t)$
is closely related to the map
${T_k: [0,1)\to [0,1)}$
given by
$T_k(x):=kx \pmod 1$
, with
$k-1$
holes that are translates of each other by multiples of
$1/k$
. Precisely, let
$0<a<1/k<b<a+(1/k)$
and define the open intervals
$$ \begin{align*} H_1:=(a,b), \quad H_2:=\bigg(a+\frac{1}{k},b+\frac{1}{k}\bigg), \ldots , \quad H_{k-1}=\bigg(a+\frac{k-2}{k},b+\frac{k-2}{k}\bigg). \end{align*} $$
(See Figure 3.) Let
$H:=\bigcup _{i=1}^{k-1}H_i$
and consider the set

Figure 3 The open dynamical system
$(T_3, [0,1), H)$
with
$H=H_1\cup H_2$
. Note that
$H_2=H_1+\frac {1}{3}$
.
We will associate with the pair
$(a,b)$
a base
$\beta \in (1,k]$
and a point
$t\in (0,1)$
such that
$K(a,b;k-1)$
has the same Hausdorff dimension as the set
$\widetilde {\mathcal K}_\beta (t)$
defined in (6.1).
Write
$a=(0.a_1a_2\cdots )_k$
and
$b=(0.b_1b_2\cdots )_k$
, and put
$\mathbf {a}:=a_1a_2\cdots $
and
${\mathbf {b}:=b_1b_2\cdots }$
. By identifying points in
$[0,1)$
with their base k expansions,
$K(a,b;k-1)$
is essentially the same as the symbolic set
$$ \begin{align*} \Omega_{\mathbf{a},\mathbf{b}}:=\bigg\{\mathbf{z}\in\{0,1,\ldots,k-1\}^{\mathbb{N}}: \sigma^n(\mathbf{z}) \in \bigcup_{j=0}^{k-1}S_j\ \text{ for all } n\geq 0\bigg\}, \end{align*} $$
where
$S_0,S_1,\ldots ,S_{k-1}$
are the lexicographical intervals
$$ \begin{align*} S_0&:=[0^\infty,(a_i)],\\ S_j&:=[j b_2b_3\ldots,j a_2a_3\ldots] \quad\text{for } j=1,\ldots,k-2,\\ S_{k-1}&:=[(k-1)b_2b_3\ldots,(k-1)^\infty]. \end{align*} $$
(Points having two different base k expansions play no role, as they clearly do not belong to
$K(a,b;k-1)$
.) Put
$\mathbf {a}':=a_2a_3\ldots $
and
$\mathbf {b}':=b_2b_3\ldots $
. If
$a_2\leq b_2$
, then it is not too difficult to see that
$\Omega _{a,b}$
is only countable, so we will assume that
$a_2>b_2$
. For general sequences
$\mathbf {c},\mathbf {d}\in \{0,1,\ldots ,k-1\}^{\mathbb {N}}$
with
$\mathbf {c}\prec \mathbf {d}$
, we define the set
and observe that this is a subshift of
$\{0,1,\ldots ,k-1\}^{\mathbb {N}}$
. Note that the symbolic survivor subshift
$\widetilde {\mathcal K}_\beta (t)$
from §6 is simply
$\Sigma _{\mathbf {c},\mathbf {d}}$
, where
$\mathbf {c}=b(t,\beta )$
and
$\mathbf {d}=\alpha (\beta )$
. It can be shown that
and, vice versa, any sequence in
$\Omega _{ \mathbf {a}, {\mathbf {b}}}$
is of the form
$\mathbf {w}\mathbf {z}$
, where
$\mathbf {z}\in \Sigma _{\mathbf {b}',\mathbf {a}'}$
and
$\mathbf {w}$
is of one of the following forms: (i)
$0^m$
for
$m\geq 0$
; (ii)
$(k-1)^m$
for
$m\geq 0$
; (iii)
$0^m j$
for
$m\geq 0$
and
$ j\in \{1,\ldots ,k-2\}$
; or (iv)
$(k-1)^m j$
for
$m\geq 0$
and
$j\in \{1,\ldots ,k-2\}$
. The proof is similar to that of [Reference Komornik, Steiner and Zou22, Theorem 2.5(vi)], and is omitted here. It follows that
$\Omega _{ \mathbf {a}, {\mathbf {b}}}$
has the same Hausdorff dimension (and topological entropy) as
$\Sigma _{ {\mathbf {b}}', \mathbf {a}'}$
. Now, let
$ {\mathbf {b}}":=\min \Sigma _{ {\mathbf {b}}', \mathbf {a}'}$
and
$ \mathbf {a}":=\max \Sigma _{ {\mathbf {b}}', \mathbf {a}'}$
. It is easy to check that
$\Sigma _{ {\mathbf {b}}', \mathbf {a}'}=\Sigma _{ {\mathbf {b}}", \mathbf {a}"}$
and
$ \mathbf {a}"$
and
$ {\mathbf {b}}"$
satisfy the inequalities
It is also clear from these inequalities that
$ \mathbf {a}"$
does not end in
$0^\infty $
and, hence, by Lemma 4.1,
$ \mathbf {a}"=\alpha (\beta )$
for some base
$\beta \in (1,k)$
. Furthermore,
$ {\mathbf {b}}"$
is the quasi-greedy expansion of some point
$t\in [0,1)$
in base
$\beta $
by the analog of Lemma 4.2 for quasi-greedy expansions. If in fact
$\sigma ^n( {\mathbf {b}}")\prec \mathbf {a}"$
for all
$n\geq 0$
, then
$ {\mathbf {b}}"$
is also the greedy expansion of t and we have precisely
$\widetilde {\mathcal K}_\beta (t)=\Sigma _{ {\mathbf {b}}", \mathbf {a}"}=\Sigma _{ {\mathbf {b}}', \mathbf {a}'}$
. Otherwise, there is a smallest
$n\geq 0$
such that
$\sigma ^n( {\mathbf {b}}")= \mathbf {a}"=\alpha (\beta )$
and we replace
$ {\mathbf {b}}"$
with
$ {\mathbf {b}}"':=b_1"\cdots b_{n-1}"(b_n"+1)0^\infty $
, which is the greedy expansion of t in base
$\beta $
. Then,
$\widetilde {\mathcal K}_\beta (t)=\Sigma _{ {\mathbf {b}}"', \mathbf {a}"}$
. Now, the only sequences in
$\Sigma _{ {\mathbf {b}}", \mathbf {a}"}\backslash \Sigma _{ {\mathbf {b}}"', \mathbf {a}"}$
are those that end in
$ \mathbf {a}"$
, that is, a countable set. Therefore,
$\widetilde {\mathcal K}_\beta (t)$
is equal to
$\Sigma _{ {\mathbf {b}}', \mathbf {a}'}$
minus a countable set. In either case, we conclude that
Thus, the problem of finding, for fixed
$\beta $
, the smallest t such that
$\dim _H K_\beta (t)=0$
is in some sense equivalent to the problem of finding, for fixed a, the smallest b such that
$\dim _H K(a,b;k-1)=0$
(or, by symmetry, to the problem of finding, for fixed b, the largest a such that
$\dim _H K(a,b;k-1)=0$
).
Acknowledgements
The authors are grateful to the referee for valuable comments which led to an improvement in the presentation of the paper. P.A. was partially supported by Simons Foundation grant no. #709869. D.K. was supported by Chongqing NSF grant no. CQYC20220511052 and the Scientific Research Innovation Capacity Support Project for Young Faculty grant no. ZYGXQNISKYCXNLZCXM-P2P.





































