Introduction
Rumination is the tendency to repetitively and passively focus on the symptoms of distress, and possible causes and consequences of those symptoms (Nolen-Hoeksema, Reference Nolen-Hoeksema1991). It has been established as a transdiagnostic risk factor for a wide range of behavioral health outcomes in children and adolescents (e.g., depression, anxiety, binge eating, alcohol misuse; for a meta-analysis, see Aldao et al., Reference Aldao, Nolen-Hoeksema and Schweizer2010). Although much of the existing literature centers on the broader construct of rumination, refinements to initial conceptualizations have identified two distinct factors: brooding, or passively dwelling on negative feelings and reflection, purposefully turning inward to engage in cognitive problem solving (Miranda & Nolen-Hoeksema, Reference Miranda and Nolen-Hoeksema2007; Treynor et al., Reference Treynor, Gonzalez and Nolen-Hoeksema2003). Compared to reflection, brooding is the more maladaptive component of rumination that is linked to depressive symptoms. Thus, it could be described as a "purer" form of the larger rumination construct as originally construed, in that it is isolated from adaptive aspects (Miranda & Nolen-Hoeksema, Reference Miranda and Nolen-Hoeksema2007; Treynor et al., Reference Treynor, Gonzalez and Nolen-Hoeksema2003).
Rumination (and in particular, ruminative brooding) is among the most robust risk factor for psychopathology, such that a burgeoning literature has examined its developmental origins (Shaw et al., Reference Shaw, Hilt and Starr2019). Identifying factors that predict the development of ruminative brooding will improve our theoretical understanding of repetitive negative thinking, as well as inform prevention and intervention efforts. Per conceptual models of the etiology of rumination (e.g., control theories), one factor that increases engagement in rumination is exposure to stress; this occurs as stressful events create goal discrepancies between desired states and present reality (Carver & Scheier, Reference Carver and Scheier1981; Martin & Tesser, Reference Martin and Tesser1996). Goal discrepancies increase the experience of negative affect, and may lead people to engage in rumination about how to reduce such discrepancies and regulate associated distress. This mechanism is supported by experience-sampling studies demonstrating links between daily stressors and spontaneous rumination (e.g., Ciesla et al., Reference Ciesla, Reilly, Dickson, Emanuel and Updegraff2012; Moberly & Watkins, Reference Moberly and Watkins2008). In these studies, rumination also mediates the link between stressors and subsequent negative affect; this suggests negative events induce rumination that, in turn, prolong distress by keeping the stressor “alive” and the individual activated (Brosschot et al., Reference Brosschot, Gerin and Thayer2006). Over time, youth who experience repeated stressors and engage in rumination to cope pair stressor-induced negative affect and spontaneous rumination. This may result in negative affect automatically cueing ruminative thought, increasing the likelihood that rumination consolidates into a more trait-like response style (Shaw et al., Reference Shaw, Hilt and Starr2019; Watkins & Nolen-Hoeksema, Reference Watkins and Nolen-Hoeksema2014).
Indeed, several studies have found relations between stressful life events and trait rumination (Waasdorp et al., Reference Waasdorp, Bagdi and Bradshaw2010; Young et al., Reference Young, LaMontagne, Dietrich and Wells2012). In a prospective study, adolescents and adults reporting greater self-reported stress exposure showed increases in rumination over time (Michl et al., Reference Michl, McLaughlin, Shepherd and Nolen-Hoeksema2013). This suggests that stressful experiences may shape a person’s response style, leading them to use rumination more habitually to cope with stressors in many areas of life. That said, limitations in measurement and modeling of stress are major challenges in establishing nuanced links between life stress and rumination. For example, past studies examining stressful life events have utilized self-report checklists that are susceptible to several sources of critical bias. Decades of research have documented poor psychometric properties among self-report checklists, including unacceptable test-retest reliability and low convergence with high-quality interviews (Duggal et al., Reference Duggal, Malkoff-Schwartz, Birmaher, Anderson, Matty, Houck and Frank2000; Harkness & Monroe, Reference Harkness and Monroe2016; McQuaid et al., Reference McQuaid, Monroe, Roberts, Kupfer and Frank2000; Monroe, Reference Monroe2008). Further, checklists confound stress exposure (i.e., the environmental challenges to which an individual is exposed) with stress response (i.e., the response to these environmental challenges; Harkness & Monroe, Reference Harkness and Monroe2016), introducing systematic bias. This poses challenges for evaluating the etiological or causal status of life stress as it relates to ruminative brooding.
Additionally, self-report checklists typically combine heterogenous stressful life events into a single score; but the types and timings of life events may not be equally associated with the development of ruminative brooding. For example, in contrast to episodic stressors (which are significant but time-limited, discrete events), chronic stress is defined as ongoing, enduring stressors that typically last six months or longer; examples include absence of a close, confiding friendship, poor quality relationship with family, or persistent academic difficulties (Brown & Harris, Reference Brown and Harris1978; Epel et al., Reference Epel, Crosswell, Mayer, Prather, Slavich, Puterman and Mendes2018). Chronic stressors may be more strongly linked to brooding, as they are more likely to induce prolonged negative affect that, in turn, may incite more frequent ruminative brooding in an attempt to regulate associated distress. This process may increase rehearsal effects (i.e., distress automatically cueing ruminative thought), and lead to the consolidation of ruminative responses (Shaw et al., Reference Shaw, Hilt and Starr2019). In support, research within the adult literature has demonstrated that bereaved individuals with greater stress burden (i.e., experiencing more chronic stress in addition to bereavement) ruminated more over time, as compared to those reporting less chronic stress (Nolen-Hoeksema et al., Reference Nolen-Hoeksema, Parker and Larson1994). Similarly, adults with higher job strain (high demand, low control at work) reported more ruminative thoughts about work stressors than those with lower job strain (Cropley & Purvis, Reference Cropley and Purvis2003). Other studies have shown people in stigmatized or minoritized groups facing stigma-related stressors or racial discrimination were more likely to ruminate, which in turn mediated the relation between stigma-related stress and psychological distress (Bernard et al., Reference Bernard, Halliday, Are, Banks and Danielson2021; Hatzenbuehler et al., Reference Hatzenbuehler, Nolen-Hoeksema and Dovidio2009). Although these associations have yet to be examined in child or adolescent samples, results in adult samples suggest that chronic stress may induce rumination that, in turn, maintains or exacerbates negative affect and cues more ruminative thought.
Research also demonstrates relations between acute interpersonal stressors and higher levels of rumination, especially among adolescents. For example, studies indicate that relational victimization and other forms of social rejection in teens are associated with rumination (Mathieson et al., Reference Mathieson, Klimes-Dougan and Crick2014; McLaughlin et al., Reference McLaughlin, Hatzenbuehler and Hilt2009; Waasdorp et al., Reference Waasdorp, Bagdi and Bradshaw2010). It may be that interpersonal events are more closely linked to the higher incidence of negative affect that, in turn, diminishes coping resources and spurs rumination (e.g., Hames et al., Reference Hames, Hagan and Joiner2013). Research also supports neurobiological mechanisms linking interpersonal stressors to engagement in rumination. Specifically, interpersonal stressors (especially those involving social rejection) are linked to activation of brain regions involved in emotional awareness and regulation (Slavich et al., Reference Slavich, Way, Eisenberger and Taylor2010). These neural regions are also activated during self-reflection, a core process underlying ruminative thought (Johnson et al., Reference Johnson, Raye, Mitchell, Touryan, Greene and Nolen-Hoeksema2006). Moreover, it is well-established that interpersonal stressors (both chronic and acute) uniquely predict depression in adolescents (Hammen, Reference Hammen2005; Vrshek-Schallhorn et al., Reference Vrshek-Schallhorn, Stroud, Mineka, Hammen, Zinbarg, Wolitzky-Taylor and Craske2015) and are also strongly correlated with rumination (Nolen-Hoeksema et al., Reference Nolen-Hoeksema, Wisco and Lyubomirsky2008).
Childhood adversities (CAs) have also been shown to predict later trait rumination. The majority of studies examining these associations focus on childhood maltreatment (e.g., neglect and abuse), and suggest that various subtypes of maltreatment are related to rumination (e.g., Heleniak et al., Reference Heleniak, Jenness, Stoep, McCauley and McLaughlin2016; O’Mahen et al., Reference O’Mahen, Karl, Moberly and Fedock2015; Spasojevic & Alloy, Reference Spasojevic and Alloy2002). To date, relatively minimal research has examined associations between early life stress, more broadly, and rumination. In an exception, LeMoult et al. (Reference LeMoult, Humphreys, King, Colich, Price, Ordaz and Gotlib2018) showed that youth who experienced more stressful events early in life were more likely to ruminate, indicating that even early childhood stressors (e.g., death of a family member or friend, bullying in childhood) may heighten the propensity to ruminate. This may be explained by the impact of CAs on neural and physiological changes that impact regulatory capacities (Fareri & Tottenham, Reference Fareri and Tottenham2016; King et al., Reference King, Colich, LeMoult, Humphreys, Ordaz, Price and Gotlib2017). The negative affect elicited by early life stress may also tax regulatory resources needed to cope more adaptively (Baumeister et al., Reference Baumeister, Gailliot, DeWall and Oaten2006).
Thus, individuals are likely to encounter various combinations of distal (i.e., indirect) and proximal (i.e., causal) stressful events, both interpersonal and noninterpersonal in nature, across development. Some may also experience more chronic, enduring stressors. In the current study, we focus on the development of ruminative brooding in adolescence as a function of different patterns of stressors that vary by chronicity, type, and timing. Although studies have indicated specific effects of singular types of life stressors on ruminative brooding, research is needed to investigate whether patterns of stress are differentially related to a greater risk of developing a ruminative style.
Indeed, a shortcoming of the larger life stress literature is that these different facets of stress exposure tend to be studied in isolation, or as if they are independently distributed among the population. In fact, different forms of stress are likely to cluster together in systematic patterns. Stressors may cluster together for several different reasons. Continuity in stressful circumstances (e.g., maltreatment predicting later stressful life events) has been widely observed (e.g., Hazel et al., Reference Hazel, Hammen, Brennan and Najman2008; Turner & Turner, Reference Turner and Turner2005). The stress proliferation model (Pearlin et al., Reference Pearlin, Schieman, Fazio and Meersman2005) suggests that “stress begets stress” (i.e., stressful events can cascade into later events), and stress generation research shows that those exposed to prior adversity are more likely to produce or select into stressful circumstances (e.g., Liu et al., Reference Liu, Choi, Boland, Mastin and Alloy2013). Underlying circumstances (e.g., poverty, systems of inequality) or interpersonal processes (e.g., insecure attachment) may contribute to the generation of widespread negative circumstances. Because a multitude of factors likely contribute to how stressors naturally co-occur, traditional variable-centered approaches may not be able to capture the complexities of associations between facets of stress exposure and rumination.
Person-centered approaches
Singular forms of life stress are unlikely to occur in isolation, as individuals typically encounter numerous stressors and multiple types of stressors at different stages of their life. Despite increasing support for the co-occurrence of life stressors (Harkness & Monroe, Reference Harkness and Monroe2016), no previous research has attempted to identify patterns of life stress that may be differently associated with ruminative brooding. An important method that can examine the nuanced patterns of heterogeneous experiences of life stress is latent class or profile analysis (LCA/LPA). Person-centered approaches like LPA and LCA provide information about the natural clustering of stressful experiences across individuals, creating meaningful patterns or subgroups of life stress within an individual that may impact rumination (Bergman et al., Reference Bergman, von Eye, Magnusson, Cicchetti and Cohen2006). Numerous dimensions of life stress (e.g., chronic or acute, early life or recent, interpersonal or noninterpersonal) can be considered simultaneously as measured variables to inform a latent profile solution. This enables researchers to use prototypical patterns of stressful experiences to create a best-fitting statistical solution.
Person-centered approaches have been used to identify distinct subgroups of maltreatment (e.g., Armour et al., Reference Armour, Elklit and Christofferson2014; Warmingham et al., Reference Warmingham, Handley, Rogosch, Manly and Cicchetti2019) and diverse categories of stressful life events, broadly defined. For instance, one study performed an LCA to identify distinct classes of life event categories among suicide ideators using a questionnaire assessing for the presence/absence of six categories of stressful life events (e.g., injury/illness, personal loss, interpersonal conflict, financial crisis, interpersonal abuse, minor life stressors; McFeeters et al., Reference McFeeters, Boyda and O'Neill2015). The authors identified three distinct classes of life stress; these included one with a high probability of encountering interpersonal conflict, another with a low probability of encountering any of the stressful life event categories, and a third with a high probability of encountering multiple event categories. Other work has identified classes of individuals by different patterns of adverse childhood experiences (Rosen et al., Reference Rosen, Handley, Cicchetti and Rogosch2018; Shin et al., Reference Shin, McDonald and Conley2018), community violence exposure (Cecil et al., Reference Cecil, Viding, Barker, Guiney and McCrory2014), peer victimization (Nylund et al., Reference Nylund, Bellmore, Nishina and Graham2007), and major life events (Lasgaard et al., Reference Lasgaard, Armour, Bramsen and Goossens2015; Shin et al., Reference Shin, McDonald and Conley2018). Although this work demonstrates the utility of person-centered approaches to identify patterns of life stress, it does not incorporate all of the types and timings of life events that may be relevant to the development of ruminative brooding (i.e., chronic stressors, early life versus more recent stressors). Much of this work also uses self-report checklists to assess stress exposure/reactivity, which as noted previously has important limitations.
The present research
The current study examines the development of ruminative brooding in adolescence as a function of different patterns of life stressors. We 1) used LPA to identify distinct profiles of life stress, defined by different types (interpersonal/noninterpersonal) and timings (i.e., acute, chronic, early life) of stressors, in a sample of adolescents, 2) determined the extent to which these patterns of life stress are associated with a) concurrent and b) prospective ruminative brooding. The study relied on a prospective design to examine the links between patterns of life stress and ruminative brooding over time. This enabled us to uncover what patterns of stress exposure predispose the consolidation of brooding into a habitual response style. We investigated these aims in an adolescent sample, as patterns of stability and change demonstrate that individual differences in rumination likely emerge and consolidate into enduring, trait-level response styles during adolescence (Shaw et al., Reference Shaw, Hilt and Starr2019). This study is the first to use the UCLA Life Stress Interview, a high-quality stress assessment method, to identify distinct patterns of life events using a person-centered approach. It contributes to a novel understanding of rumination by uncovering the commonly occurring patterns of life stress that may be linked to its development.
Method
Participants
Participants were recruited from community settings in a midsized metropolitan area of the northeastern United States (for full recruitment details see Starr et al., Reference Starr, Dienes, Stroud, Shaw, Li, Mlawer and Huang2017). Eligible participants were aged 14–17 years and fluent in English. Exclusion criteria included evidence of pervasive developmental disorder, prior medical professional-assigned diagnosis of bipolar or psychotic disorder reported during the phone screening (related to original study aims), any major physical or neurological disorder, and prior enrollment of another household member. The sample was comprised of 241 adolescents (Mage = 15.90 years, SD = 1.09; 53% female, 46% male, 1% nonbinary gender) who participated with their primary caregiver. Participants identified the following racial/ ethnic backgrounds: 73.9% White, 12.2% Black, 4.1% Asian, 7.1% Multiracial, 2.1% other or no race reported, and 0.4% Native American. In addition, 9.1% identified as Hispanic or Latino. The median parent-reported annual family income was $80,000–89,999. In addition, 24.1% of parents reported that their child received free or reduced-price lunch at school (an index of economic hardship). At baseline (T1), caregivers and adolescents each completed separate diagnostic and objective stress interviews and a packet of questionnaires.
Approximately 1.5 years after their initial participation (mean follow-up period 19.09 months, SD = 4.14), adolescents were invited to participate in a follow-up assessment (T2) that included the same interviews and questionnaires. Of the original 241 adolescents, 191 participated in the follow-up procedures (79.2% retention). There was no evidence of differential attrition by age, race, sex, baseline brooding, depression, or most stress indices (all t-test/chi-square ps > .05). However, attrition was predicted by higher family chronic stress (t (238) = 2.09, p = .038), school-related chronic stress (t(238) = 2.87, p = .003), and childhood adversity (t(64.21) = 3.33, p < .001. All procedures were approved by the University of Rochester Research Subjects Review Board.
Measures
Chronic and acute stress
Evaluations of life stress were conducted at T1 using the UCLA Life Stress Interview (LSI; Hammen et al., Reference Hammen, Henry and Daley2000), a semi-structured interview adapted for use with adolescents (Shih et al., Reference Shih, Eberhart, Hammen and Brennan2006). To assess chronic stress, interviewers elicited information about the nature and quality of ongoing conditions over the last six months in the following domains: close friendships, peer relations/social life, romantic relationships, family relationships, academic experiences, and disciplinary problems (primarily at school). The LSI isolates objective assessments of ongoing stressful circumstances from the adolescents’ subjective perceptions of stress, with interviewers rating chronic stress based on objective features in each domain. Domains were rated from one (exceptionally good conditions) to five (extreme adversity), including half points, using behaviorally specific anchors. For example, for the domain of close friendships, a score of “two” represents the presence of a reasonably good quality, close, confiding friendship (e.g., mutual disclosure in some areas, can trust with most things, reciprocal, satisfying, stable), and “four” represents the presence of a poor-quality friendship (e.g., unstable, uncertain about trustworthiness, not reciprocal) or of only moderately close friendships (e.g., sometimes unstable, or conflictual). These domains are also categorized by their interpersonal (close friendships, peer relations/social life, romantic relationships, family relationships) and noninterpersonal (academic experiences, disciplinary problems) nature. Second raters re-coded 20% of interviews for interrater reliability; this yielded intraclass correlations (ICCs) of .88 for close friendships, .86 peer relations/social life, .85 for romantic relationships, .87 for family relationships, .95 for academic experiences, and .95 for disciplinary problems. Descriptive statistics of chronic stress indicators across the full sample are presented in Table 1 (total sample column).
Table 1. Profile means for four-profile model

Note. *p < .05, **p < .001.
To assess acute/episodic life events, the LSI uses procedures based on the contextual threat method (Brown & Harris, Reference Brown and Harris1978). Trained interviewers elicited information about discrete life events from the past 12 months of the adolescent’s life, including the nature, dates/duration, surrounding context, prior experience with similar events, and availability of resources to cope with the stressor. Interviewers then prepared narrative accounts of each event (including the surrounding circumstances and consequences, but excluding participants’ subjective reactions), which were presented to an independent rating team blind to all other study data. Taking context into account, coders consensus rated each event’s objective negative impact on a scale from one (no negative impact) to five (extremely severe impact), including half-points. The team also rated whether each event was interpersonal in nature/consequences (e.g., parental separation, conflict with friend, death of loved ones); these ratings were dichotomized as interpersonal versus noninterpersonal. A second team of coders, blinded to the original ratings, re-rated a subset of events with excellent reliability, ICC = 0.87. Event impact ratings (excluding scores of “one”, which denoted nonevents) were summed for indices of interpersonal episodic stress and noninterpersonal episodic stress. Adolescents reported an average of 2.95 events, and total severity ranged from 0 (i.e., no reported events) to 25. Descriptive statistics of acute stress indicators across the full sample are presented in Table 1 (total sample column).
Childhood adversity (CA)
Parents completed a modified version of the Youth Life Stress Interview at T1 (YLSI; Rudolph & Flynn, Reference Rudolph and Flynn2007; Rudolph et al., Reference Rudolph, Hammen, Burge, Lindberg, Herzberg and Daley2000), which assessed the adolescent’s experiences with negative life events from birth up until a year prior to baseline (to distinguish from recent stressors). CA was defined cumulatively rather than within a specific putative sensitive window, because a) no research (to our knowledge) has examined specific sensitive periods for adversity exposure related to development of rumination, and b) rumination builds on development of multiple higher-order cognitive processes, which are unlikely to be concentrated in a single, discrete window (Thompson & Steinbeis, Reference Thompson and Steinbeis2020; Woodard & Pollak, Reference Woodard and Pollak2020). Interviewers elicited information about the youths’ potential exposure to particularly stressful or negative events and circumstances (e.g., death of a close family member or friend, separation from parents, parental conflict or separation, chronic physical illness of family members, period of significant financial difficulties, and chaotic family living circumstances), including context, duration, and impact. Interviewers used the same probes as those used for acute stressors on the LSI, and events were team-coded on objective negative impact using the same scale as the LSI. Parents reported an average of 4.56 events (range = 0 to 13). A second team of coders re-rated a subset of events with excellent reliability, ICC = 0.97. To index the cumulative severity of CA, event impact ratings were summed for indices of total (i.e., overall) CA excluding non-events (those rated as one). Descriptive statistics for this indicator across the full sample are presented in Table 1 (total sample column).
Ruminative brooding
The five brooding items from the Ruminative Response Scale (RRS; Nolen-Hoeksema et al., Reference Nolen-Hoeksema, Larson and Grayson1999; Treynor et al., Reference Treynor, Gonzalez and Nolen-Hoeksema2003) were administered at T1 and T2 to assess participants’ tendencies to ruminate in response to depressed mood. These self-report items inquire about general responses to negative mood focused on self, symptoms, and causes and consequences of symptoms (e.g., “Think about how sad you feel”). Responses were rated on a scale from one (almost never) to four (almost always). Factor analysis of the RRS has shown that brooding is strongly linked to depressive symptoms, and that these five items efficiently tap the deleterious component of cognitive rumination (Armey et al., Reference Armey, Fresco, Moore, Mennin, Turk, Heimberg and Alloy2009; Treynor et al., Reference Treynor, Gonzalez and Nolen-Hoeksema2003). Cronbach’s alpha at T1 = .83; at T2 = .87. Mean (SD) RRS at T1 = 10.71 (3.79); at T2 = 10.84 (3.95).
Depressive symptoms
Diagnoses and subthreshold symptoms of major depressive disorder (MDD) were assessed using the Schedule for Affective Disorders and Schizophrenia for School-Aged Children – Present and Lifetime Version (K-SADS-PL; Kaufman et al., Reference Kaufman, Birmaher, Brent, Rao, Flynn, Moreci and Ryan1997) at T1. The K-SADS-PL is a semi-structured diagnostic interview that has demonstrated high validity and reliability (Kaufman et al., Reference Kaufman, Birmaher, Brent, Rao, Flynn, Moreci and Ryan1997). Similar to prior research (e.g., Rao et al., Reference Rao, Daley and Hammen2000; Starr et al., Reference Starr, Davila, Stroud, Li, Yoneda, Hershenberg and Miller2012), MDD was rated according to five response options: 0 (no symptoms), one (mild symptoms), two (moderate, subthreshold symptoms), three (DSM-IV criteria met), four (DSM-IV criteria met with high severity). Our analyses at T1 involved current symptoms of MDD. Supplemental analyses examined T2 MDD; for these analyses, we utilized the most severe score given to an episode experienced at any point during the follow-up period. Mean scores for MDD at T1 = .24, standard deviation = .72; range = 0–4, percentage of sample with diagnoses and subthreshold symptoms of MDD = 12.5%; at T2 (capturing a longer time frame), mean scores = .79 (SD = 1.23), range = 1–4, and 36.1% reported at least subthreshold symptoms. Second raters re-coded audiotapes of 20% of interviews; intraclass correlation coefficients representing interrater reliability was 1.00 at T1 and .97 at T2.
Data analytic plan
Aim 1 – Identifying profiles of life stress
As described, latent profile analysis (LPA) is a person-centered statistical tool that identifies subgroups of people with similar patterns on measured variables that are continuous in nature. Indicators for our LPA were variables from the LSI/YLSI (see Figure 1); these include chronic stress ratings in the domains of 1) close friendships, 2) peer relations/social life, 3) romantic relationships, 4) family relationships, 5) academic experiences, and 6) disciplinary problems (primarily at school), as well as severity of 7) interpersonal episodic stress, 8) noninterpersonal episodic stress, and 9) overall CA (all computed by summing event impact rating, excluding scores of “one,” which denoted non-events).

Figure 1. Conceptual figure of latent profile analysis and its relationship with subsequent ruminative brooding.
To aid in fit/interpretability, the LPA model was estimated using the more restrictive (i.e., less parameterized) model, wherein conditional (e.g., profile-specific) means were estimated, but variances were constrained. Local independence was also assumed (e.g., covariances between indicators within profile were not estimated). Profile enumeration began with a 1-profile model and was compared with successively specified models with two, three, four, to k latent profiles using the same nine manifest indicators. We relied on multiple fit indices, as well as substantive meaning and interpretability of the profiles, to select the best-fitting solution (Morgan, Reference Morgan2015). Multiple indices of model fit were used to assess comparative fit of each profile solution. Profiles with lower values on Akaike Information Criterion (AIC; Akaike, Reference Akaike1987), Bayesian Information Criterion (BIC; Schwarz, Reference Schwarz1978), Consistent Akaike Information Criterion (cAIC; Bozdogan, Reference Bozdogan1987) and Sample-size Adjusted Bayesian Information Criterion (ssBIC; Sclove, Reference Sclove1987) indicate comparatively better solutions. The Bootstrapped Likelihood Ratio Test (BLRT) was also be applied to compare models; a significant BLRT indicated that a k solution fits significantly better than a k-1 solution (Collins & Lanza, Reference Collins and Lanza2010; Lo et al., Reference Lo, Mendell and Rubin2001; McLachlan & Peel, Reference McLachlan and Peel2000). These comparative fit indices may suggest selection of different models; best practice is to use fit indices in conjunction with other characteristics of the profile solution (Collins & Lanza, Reference Collins and Lanza2010; Dziak et al., Reference Dziak, Coffman, Lanza, Li and Jermiin2020). Higher entropy indicates greater distinction between profiles within a solution; solutions with greater profile separation were preferred. Additionally, profile membership probabilities below 5% of the sample will not be preferred, as they are typically less likely to provide adequate replicability. Profile solutions were also examined for interpretability by examining patterning of indicator means across profiles.
Aim 2 – Testing relationships between profiles of life stress and ruminative brooding
After identifying the best-fitting profile solution, mean differences on ruminative brooding (concurrently and prospectively) were investigated across the latent profiles using the Bolck, Croons, and Hagenaars (BCH) method (Asparouhov & Muthen, Reference Asparouhov and Muthen2014; Bolck et al., Reference Bolck, Croon and Hagenaars2004; Vermunt, Reference Vermunt2010). This method uses a weighted approach that reflects classification uncertainty to estimate relationships between latent profiles and continuous auxiliary variables. It has been increasingly used because it does not alter the final latent profile solution when including auxiliary variables in the model (Asparouhov & Muthen, Reference Asparouhov and Muthen2014). The BCH approach provides an overall group difference test statistic. Statistical significance suggests that differences are present across the latent profiles on the auxiliary variable. Estimated auxiliary variable means for each latent profile, and pairwise comparisons of means across profiles, are also provided by the BCH output. In the planned analyses, ruminative brooding at T1 and T2, respectively, will be tested as auxiliary variables using the BCH method in Mplus (Asparouhov & Muthen, Reference Asparouhov and Muthen2014; Bolck et al., Reference Bolck, Croon and Hagenaars2004; Vermunt, Reference Vermunt2010). To examine changes in ruminative brooding over time as a result of latent profiles, the effect of profile membership on T2 brooding was estimated, controlling for T1 brooding. Posterior probabilities were then extracted from the latent profile solution to determine each adolescent’s most probable profile membership. Next, dummy coded variables based on the most likely profile membership were employed as predictors in a regression analysis to establish the associations between profile membership and ruminative brooding at T2, controlling for ruminative brooding at T1. Finally as a test of robustness, given the strong associations between stressful life events and depression and the relevance of depressive symptoms to rumination (Hammen, Reference Hammen2005), these models were tested controlling for adolescent depressive symptoms.
Results
Descriptive analyses
Mean scores of indicators from the LSI/YLSI across the full sample are presented in Table 1 (total sample column).
Latent profile analysis
Profile enumeration
Models with one through five latent profiles were estimated and compared. Fit statistics for sequential profile solutions are displayed in Table 2. The AIC, BIC, and ssBIC decreased through the five-profile solution; however, this solution was not sufficiently identified with these data. Moreover, the four-profile solution had the lowest CAIC, indicating relatively worse fit for the models with more than four profiles. Entropy for the four-profile solution was high (.90), indicating distinct separation between profiles. Within the four-profile solution, the smallest profile represented 7% of the sample, a large enough proportion that it can be meaningfully interpreted. The coherent conceptual interpretability of the four-profile solution also provided further support for its selection as the final profile solution.
Table 2. Fit indices for latent profile analysis modeling patterns of life stress

Note.
a Loglikelihood for profile solution.
b p-values for Bootstrapped Likelihood Ratio Test (BLRT) comparing k profile solution to k-1 profile solution.
c The five-profile solution could not be empirically identified.
Description of four-profile solution
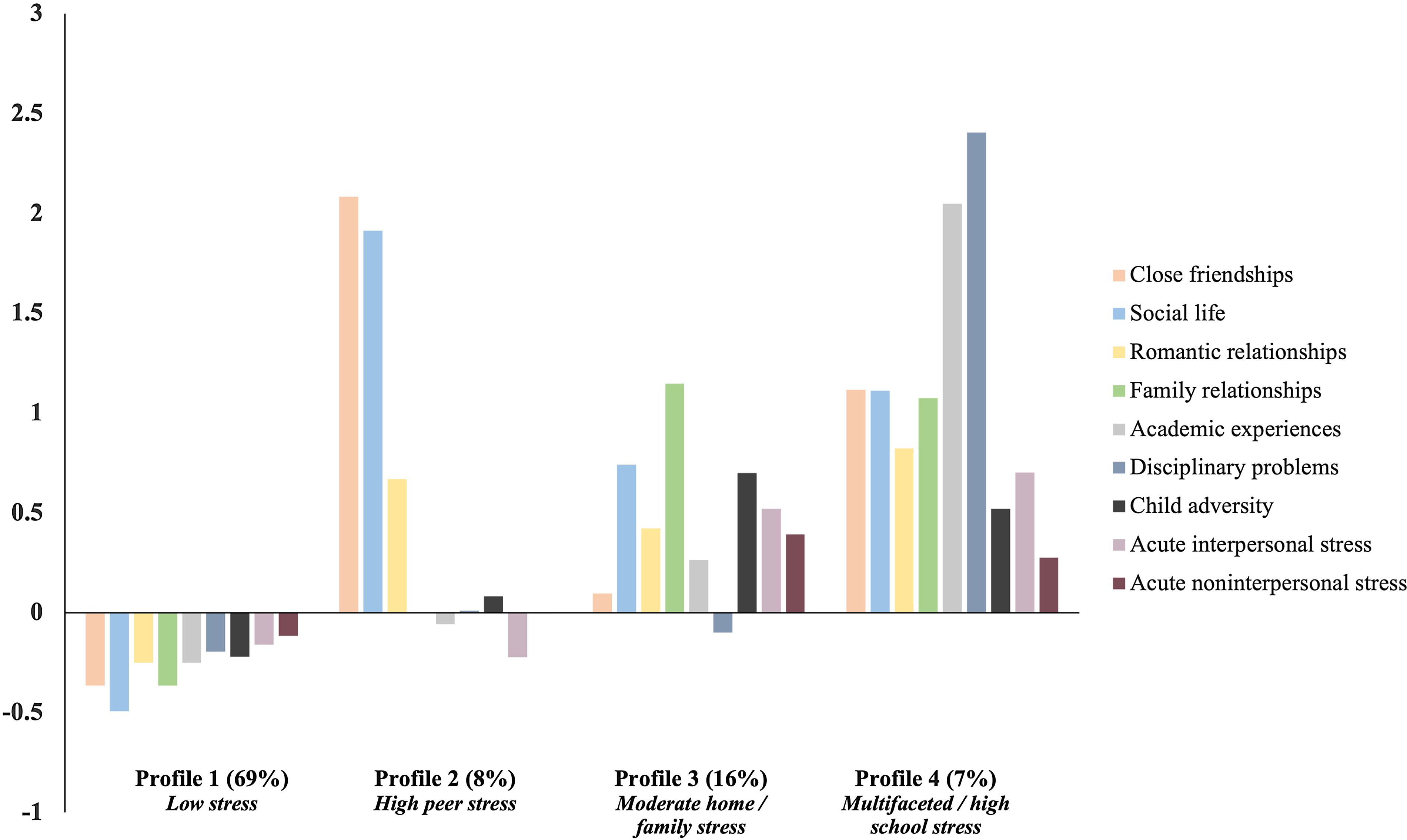
Each latent profile corresponds to an underlying subgroup of adolescents characterized by a particular pattern of life stress. Table 1 displays the percentage of participants assigned to each profile, unstandardized LSI and YLSI scores, and results for ANOVAs and pairwise comparisons testing for significance between profile differences. The first (and largest) latent profile (Profile 1, 69%) was characterized by average to below exposure to stress across each domain; thus, we labeled this subgroup low stress. The second latent profile (Profile 2, 8%) was comprised of adolescents who are exposed to high chronic stress in their close friendships and social life. We labeled this subgroup peer stress. Adolescents in the third latent profile (Profile 3, 16%) were exposed to moderate stress across home and family domains; this included early life adversity and more recent/acute interpersonal stressors, as well as chronic stress in their family relationships. We labeled this subgroup moderate home / family stress. Finally, the fourth latent profile (Profile 4, 7%) was characterized by moderate stress exposure across similar domains to Profile 3, plus chronic stress in academic and behavioral experiences at school. Thus, we labeled this profile multifaceted / high school stress. The profile plot of standardized indicator means within profile for the four-profile solution are presented in Figure 2.

Figure 2. Four-profile solution standardized indicator means.
Profile membership as a predictor of concurrent brooding
We began by examining differences between latent profiles on ruminative brooding at T1 using the BCH approach. We found significant differences across profiles, χ 2 (3) = 17.67, p < .01. Pairwise comparisons indicated that mean ruminative brooding scores for the peer stress profile (M = 12.10, SE = .83, p = .01), moderate home / family stress profile (M = 12.52, SE = .81, p = .004) and multifaceted / high school stress profile (M = 12.84, SE = 1.21, p = .02) were higher than the low stress profile (M = 9.95, SE = .28). Mean ruminative brooding scores were not significantly different between these profiles (e.g., the peer stress profile, moderate home / family stress profile, and multifaceted / high school stress profile). As a test of robustness, latent profile membership was saved out and depression was entered as a predictor of ruminative brooding at T1. All significant pairwise comparisons remained, although mean ruminative brooding scores for the multifaceted / high school stress profile (M = 11.81, SE = .95, p = .052) were only marginally higher than the low stress profile (M = 9.91, SE = .28). Profile means and differences between profiles on ruminative brooding at T1 are displayed in Table 3.
Table 3. Relationships between profile membership and ruminative brooding

Note.*p < .01, **p < .001 for omnibus chi-square test of group difference between latent profile means.
a Marginal associations (p = .05).
Profile membership as a predictor of subsequent brooding
We then explored differences between latent profiles on ruminative brooding at T2 using the BCH approach. We found significant differences across profiles, χ 2 (3) = 23.58, p < .001. Pairwise comparisons indicated that mean ruminative brooding scores for the peer stress profile (M = 13.18, SE = 1.17, p = .007) and moderate home / family stress profile (M = 14.00, SE = .92, p < .001) were higher than the low stress profile (M = 9.88, SE = .33). Mean ruminative brooding scores for the moderate home / family stress profile (p = .03) were also higher than the multifaceted / high school stress profile (M = 11.23, SE = .91).
Next, we examined changes in ruminative brooding over time as a result of latent profiles. Ruminative brooding at T1 and T2 were significantly correlated, r = .45 (p < .001), suggesting moderate stability over time. Class membership was represented by a set of dummy codes predicting T2 brooding, with the low stress profile as the reference group. Controlling for the stability of ruminative brooding at T1 (β = .39, p < .001), results showed that adolescents in the peer stress profile (β = .17, p = .01) and in the moderate home / family stress profile (β = .18, p = .01) both had higher ruminative brooding scores at T2 than adolescents in the low stress profile. There was no significant difference in T2 brooding between the low stress profile and the multifaceted / high school stress profile (β = .005, p = .94). These results largely mirrored our results using the BCH approach.
To ensure that our profiles did not differ by female gender (as females are more likely to ruminate than males; Rood et al, Reference Rood, Roelofs, Bogels, Nolen-Hoeksema and Schouten2009), we extracted posterior probabilities from the latent profile solution, and computed cross-tabulations for sex by profile membership. Cross-tabulations of sex by profile membership indicated that sex was not different across profiles (χ 2(3) = 2.18, p = .54). As a test of robustness, T1 depressive symptoms were included as a predictor of T2 ruminative brooding scores. All significant pairwise comparisons remained, although mean ruminative brooding scores for the moderate home / family stress profile (M = 13.14, SE = .80, p = .115) were no longer significantly higher than the multifaceted / high school stress profile (M = 10.87, SE = 1.29). Profile means and differences between profiles on ruminative brooding at T2 are displayed in Table 3.
Exploratory analyses
Brooding that is assessed following recent stressors may reflect rumination about that active stressor; further, because of continuity in stressful contexts (e.g., Hazel et al., Reference Hazel, Hammen, Brennan and Najman2008) even brooding assessed at T2 (1.5 years after baseline stressor assessments) may reflect disparities in recent stress exposure across groups. To examine this possibility, as an exploratory and post hoc analysis, we examined whether LPA profiles differed in brooding levels at T2 after controlling for current chronic stress levels assessed at T2 (i.e., reflecting overall chronic stress exposure occurring in the six months prior to T2). In other words, we tested whether the association between LPA profiles and T2 brooding was retained, even after controlling for co-occurring T2 stress levels.
Dummy coded variables representing profile membership (low stress profile was reference group) were entered as predictors in a regression analysis testing the contribution of latent profiles of stress on ruminative brooding at T2, controlling for mean chronic stress levels at T2 (e.g., average of the six chronic stress indicators over the prior six months). Controlling for the mean chronic stress at T2 (β = .24, p < .01), results showed that adolescents in the moderate home / family stress profile (β = .23, p < .01) had higher ruminative brooding scores at T2 than adolescents in the low stress profile, and adolescents in the peer stress profile (β = .142, p = .065) had marginally higher ruminative brooding scores at T2 than adolescents in the low stress profile. There was no significant difference in T2 brooding between the low stress profile and the multifaceted / high school stress profile (β = −.03, p = .68). These results largely mirrored those of models that excluded T2 chronic stress.
Finally, although the LPA was designed with to discern differences in brooding, given the strong relationship between stress and depression, in supplemental analyses we examined differences by profile membership in depression ratings at T1 and T2 (controlling for T1 depression in the T2 analyses). Following analogous analytic procedures as outline above, we entered dummy codes representing profile membership with the low stress profile as the reference group. Results diverged somewhat from models predicting brooding, suggesting unique environmental risk factors for depression and rumination. In analyses predicting T1 depression, adolescents in the moderate home/ family stress (β = .25, p < .001) and multifaceted/ high school stress (β = .27, p < .001) profiles showed elevated depression, but those in the peer stress profile did not (β = .02, p = .783). In analyses predicting changes in MDD ratings at T2, once again, compared to the low stress profile, membership in the moderate home family stress profile (β =.41, p < .001) and the multifaceted/ high school stress profile (β = .15, p = .032), but not the peer stress profile (β = .03, p = .718), predicted increased MDD. Detailed results are available in Supplementary Table 1.
Discussion
The current study contemporaneously and prospectively examined associations between different patterns of life stressors and ruminative brooding in an adolescent sample. Latent profile analysis revealed four distinct profiles, including: (1) a pattern with low stress across dimensions (Low stress); (2) a pattern with high chronic stress in close friendships and social life (High peer stress); (3) a pattern with moderate stress exposure, both acute and chronic in nature, likely primarily in home and family domains (moderate home / family stress); and (4) a pattern with moderate stress across most domains, but punctuated by high chronic stress in school experiences, both academically and behaviorally (Multifaceted / high school stress). These patterns or subgroups of life stress were differentially associated with ruminative brooding over time.
Our findings advance the literature by identifying prototypical patterns of life stress across several domains (e.g., types, timings) that impact the development of ruminative brooding. This approach complements previous studies that focus on a single type of stress, or combine heterogenous life stressors into a single score (e.g., Mathieson et al., Reference Mathieson, Klimes-Dougan and Crick2014; Michl et al., Reference Michl, McLaughlin, Shepherd and Nolen-Hoeksema2013; Spasojevic & Alloy, Reference Spasojevic and Alloy2002). While prior studies contribute to our understanding of the impact of stressors on brooding, they are limited in that they do not study heterogeneous patterns of life stress. As such, we used person-centered methods to discern unobserved subgroups of individuals based on aggregations of developmentally relevant, naturally occurring domains of stress. Moreover, the patterns of stress were differentiated by stress chronicity, further suggesting it is not just the type, but also the course and persistence of stressors that differentiates patterns of stress and delineates developmental processes associated with common stress patterns in adolescence. Next, we review the descriptive patterns that emerged, and discuss the differential associations with ruminative brooding based on profile membership.
Patterns of life stress
Low stress pattern
This profile was characterized by relatively mild stress across all nine domains, such that adolescents in this profile were exposed to average to below average levels (between 0 and −0.5 standard deviations [SDs]) of chronic and acute stressors across their lifespan. Specifically, these teens have good quality friendships and social lives, stable and positive romantic relationships (or are not dating, but happy at present), close relationships with at least one of their caregivers, good performance in school, and no disciplinary problems. Moreover, they experienced only a few, low impact early life and recent acute stressors. Notably (but unsurprisingly given our community-based recruitment), this profile emerged as the largest, containing over two-thirds of our sample. This suggests that the majority of teens in our predominately White, middle-income adolescent sample are characterized by patterns of low stress.
High peer stress pattern
The very high exposure to chronic stress in peer relationships is the prominent feature of this profile. Specifically, these adolescents confront high levels (+2 SDs) of chronic stress in their close friendships and social lives. For example, teens in this profile typically lack stable close friendships; they may have a poor-quality friendship that is conflictual and lacks reciprocity/trust, or only moderately close friendships that lack dependability and healthy conflict resolution. Moreover, they are somewhat isolated from peers (e.g., spend much time alone) and have difficulty making/keeping friends; some also experience bullying. However, these challenges were restricted to chronic peer stress; in contrast, conditions in these adolescents’ family relationships and at school are protective (e.g., in the average to good range). These adolescents also experienced below average levels of discrete early life or recent stressors.
Moderate home / family stress pattern
This profile is marked by an aggregation of moderate stress exposure, both chronic and acute in nature, across numerous areas but especially home and family domains. These include moderate exposure to early life adversity (+0.7 SD) and to some more recent, acute stressors of an interpersonal nature (+0.5 SD), as well as ongoing (e.g., chronic) stress in their family relationships (>+1 SD). These teens also encounter moderate stress in their social groups (+0.75 SD). Importantly, these stressors are coupled with low stress in these adolescents’ close friendships and academic/disciplinary experiences at school. Although early life adversities and interpersonal stressors do not exclusively occur in home/ family domains, we speculate that in this pattern home-based episodic stressors and early adversities are more heavily represented, based a qualitative inspection of events that occurred in this profile. A prototypical adolescent in this profile might have experienced early life stressors including domestic violence, parents’ separation/divorce, mothers’ depressive symptoms, frequent conflict with stepfather, and a grandparent’s death. Compounding this, in the last year they also encountered several interpersonal stressors, such as their aunt’s passing, sisters’ pregnancy, and conflict with father. These acute events occurred in tandem with ongoing stress in this teen’s family relationships and social life, as they may have an inconsistent relationship with one of their parents and some conflict with peers. However, unlike other interpersonal domains, adolescents in this group are able to maintain reasonable quality close friendships (average level for this normative sample). Further, they are not encountering problems with in academic and disciplinary experiences at school.
Multifaceted / high school stress pattern
Like the moderate home / family stress profile, this group of adolescents is also identifiable by an aggregation of moderate stress exposure across similar domains. However, they experience high levels of chronic stress in their close friendships (+1.0 SD), and their exposure is punctuated by very high levels of chronic academic and disciplinary stress in school (>+2 SD) (both noninterpersonal domains). For example, these teens may have serious academic problems that may include failure in one or two subjects, or near failure in more than two subjects. Moreover, they may show significant behavioral problems at school (e.g., suspensions, repeated problems).
Links to rumination
The four subgroups that emerged in our study were differentially associated with ruminative brooding concurrently, and over time. This suggests that exposure to natural patterns of life stress may impact the consolidation of rumination into a trait-like or habitual response style. Specifically, our primary findings indicate that adolescents in the high peer stress profile and moderate home / family stress profile were at the highest risk for developing a ruminative response style over time, as compared to the low stress profile. Even though teens in the multifaceted / high school stress profile showed high overall levels of stress, they were at not at elevated risk for developing a ruminative response style over time. This pattern of results held when prior rumination, depression, and recent stress were entered as predictors of rumination, suggesting that multi-domain assessment of stress exposure merits consideration as a unique predictor of ruminative brooding during adolescence.
This suggests multiple potential pathways between stress and rumination. First, teens who are chronically stressed in their social milieus are at high risk to develop a lasting ruminative brooding style. Developmentally, peer relationships are thought to be particularly salient during adolescence, as teens regularly expand their social networks and invest in close friendships (e.g., Furman & Buhrmester, Reference Furman and Buhrmester1992). This fulfills a variety of critical functions, including providing teens with companionship and nurturance, and well as facilitating independence from their parents (e.g., Furman & Robbins, Reference Furman, Robbins, Schneider, Rubin and Ledingham1985). Extensive research indicates that positive peer relationships promote socioemotional adjustment; conversely, adolescents with negative peer relationships are more vulnerable to a range of negative outcomes (e.g., Bishop & Inderbitzen, Reference Bishop and Inderbitzen1995; La Greca & Harrison, Reference La Greca and Harrison2005). This suggests that poor quality friendships and unstable social networks are particularly threatening during this developmental period. Control theories assert that rumination initially occurs in response to negative affect onset by goal discrepancies (between desired states and present reality; Martin & Tesser, Reference Martin and Tesser1996); these may be especially marked for highly desired or developmentally salient goals, such as peer-related activities. It follows that instability or conflict in teens’ peer relationships will consistently increase their experience of negative affect, which may lead to engagement in rumination. Over time, as momentary rumination is rehearsed, it consolidates into habit automatically triggered by low mood (Shaw et al., Reference Shaw, Hilt and Starr2019; Watkins & Roberts, Reference Watkins and Roberts2020). This conceptual model has specific relevance for the high peer stress profile, as their experience of repeated and extended (i.e., chronic) periods of difficulties resolving goals in developmentally salient peer domains iteratively pairs negative affect with ruminative thought, consolidating it into a more trait-like response.
Moreover, adolescents in the moderate home / family stress profile, who exhibited very different patterns of stress exposure as compared to the high peer stress profile, were also at risk for developing the trait tendency to brood. This suggests that the emotional climate of the family may also play a role in the development of ruminative brooding. Research lends support, as numerous studies demonstrate that overcontrolling and negative parenting behaviors (e.g., high psychological control, low autonomy granting) teach youth patterns of passivity, and foster perceptions of uncontrollability that can lead to habitual rumination (Gate et al., Reference Gate, Watkins, Simmons, Byrne, Schwartz, Whittle and Allen2013; Hilt et al., Reference Hilt, Armstrong and Essex2012). Moreover, negative expressivity in the home, likely a sequelae of family stress, is also linked to avoidant coping. It may be that elevated levels of family negative expressiveness escalates adolescents’ negative affect and models negative self-referential style; this leads to engagement in rumination. And, the chronic nature of these stressors might fuel ruminative style by repetitively providing negative cognitive content on which to dwell, such that it consolidates into a trait-like response, over time (Goodvin et al., Reference Goodvin, Carlo and Torquati2006; Hilt et al., Reference Hilt, Armstrong and Essex2012).
Interestingly, teens in this profile reported relatively positive experiences in their close friendships; nonetheless, this did not protect them from habitually brooding. This appears, at first glance, to be at odds with our interpretation of the high peer stress profile, posing the question: Why, if ongoing exposure to poor quality friendships predicts habitual brooding, do close and confiding relationships not buffer against the development of this response style? This may be related to the pernicious impact of exposure to the other types of stressors in this profile. Moreover, a growing literature suggests that adolescents in good quality, close friendships may engage in co-rumination, defined as the tendency to discuss and rehash problems excessively and dwell on negative affect in friendship pairs (Rose, Reference Rose2002). Research suggests that co-ruminative relationships promote emotional closeness and self-disclosure (Rose et al., Reference Rose, Carlson and Waller2007), but also model passive and maladaptive approaches to emotion regulation and problem solving (Felton et al., Reference Felton, Cole, Havewala, Kurdziel and Brown2019). This, in turn, may lead to increases in adolescents’ tendencies to engage in repetitive, negative thinking apart from their peers. A recent study supported this notion, indicating that, over time, co-rumination drove increases in rumination, but not vice versa (e.g., rumination did not predict changes in co-rumination over time; Felton et al., Reference Felton, Cole, Havewala, Kurdziel and Brown2019). This suggests that the nature and content of close friendship interactions, in conjunction with exposures to the other types of stress in this profile (discussed above), may propel individual differences in the tendency to brood. As compared to the moderate home / family stress pattern, adolescents in the multifaceted / high school stress profile were distinct in their additional exposure to chronic stress at school, both academically and behaviorally. Importantly, these teens were less likely to habitually brood. This finding suggests that ongoing school stress may not have an enduring impact on ruminative brooding. It may be that noninterpersonal forms of chronic stress are not as developmentally salient, or have less of an impact on teens’ sense of self, thereby less consistently spurring rumination (e.g., Sheets & Craighead, Reference Sheets and Craighead2014; Vrshek-Schallhorn et al., Reference Vrshek-Schallhorn, Stroud, Mineka, Hammen, Zinbarg, Wolitzky-Taylor and Craske2015). Our concurrent findings support this, as the multifaced / high school stress profile engaged in ruminative brooding only marginally more than the low stress profile.
Notably, not only were teens exposed to high levels of ongoing school stress less likely to ruminate, but these experiences also seemed to suppress the impact of other kinds of stressors (e.g., those that clustered together in the moderate home / family stress profile) that did predict habitual brooding. It may be that characteristics that predict elevated school stress, rather than the stress itself, lead these adolescents away from ruminative brooding and perhaps towards other forms of emotion (dys)regulation. For example, research suggests that adolescents who engage in delinquent behaviors are less reactive to threatening or stressful circumstances (e.g., Birbaumer et al., Reference Birbaumer, Veit, Lotze, Erb, Hermann, Grodd and Flor2005; Raine et al., Reference Raine, Venables and Williams1990; Syngelaki et al., Reference Syngelaki, Fairchild, Moore, Savage and van Goozen2013), and experience less negative emotional arousal or distress when encountering potential threat (De Vries-Bouw et al., Reference De Vries-Bouw, Popma, Vermeiren, Doreleijers, Van De Ven and Jansen2011). Externalizing disorders (which fit within the same nomological net as school-based delinquency) are also associated with systematic under-appraisal of stressors, relative to objective raters (Conway et al., Reference Conway, Starr, Espejo, Brennan and Hammen2016). This hyposensitivity may reduce these teens’ likelihood of engaging in brooding when exposed to repeated and extended stress, such that is less likely that ruminative brooding will become a habitual or trait-like response style.
As adolescents enter adulthood, these patterns of stress and its links to ruminative brooding have implications for development trajectories of coping and psychopathology. In emerging adulthood individuals face the task of individuation, which typically involves increased independence and attainment of new social and occupational roles and responsibilities (Arnett, Reference Arnett2000). During this transitional period defined by more choice, freedom, and responsibility, a cycle of chronic conflict with peers and/or families and subsequent utilization of brooding as a coping strategy may create challenges to adaptation. Indeed, patterns of family conflict are associated with the development of psychopathology and maladaptive emotion regulation in emerging adulthood (Russotti et al., Reference Russotti, Warmingham, Duprey, Handley, Manly, Rogosch and Cicchetti2021; Warmingham et al., Reference Warmingham, Duprey, Handley, Rogosch and Cicchetti2023). In addition, studies tracking the development of psychopathology from adolescence to adulthood have found that onset of psychopathology earlier in development increases risk for future psychiatric diagnoses (Caspi et al., Reference Caspi, Houts, Ambler, Danese, Elliott, Hariri and Moffitt2020). This highlights the importance of research aimed at identifying distal and proximal risk factors implicated in the development of transdiagnostic processes such as ruminative brooding, which may shed light on the development of co-occurring psychiatric disorders later in life.
Limitations
These results should be considered within the context of study limitations. First, to assess CA we relied on parents’ report of their offspring’s adverse experiences. But when responding on behalf of their child, a parent is sharing their own knowledge and perceptions of the experiences. This information is biased by parents’ own characteristics (e.g., personality traits, regulatory strategies, and psychopathology, Shaw et al., Reference Shaw, Augenstein and Starr2023) that likely impacts reporting of the number and severity of events. We also only administered the five brooding items from the RRS; while there is precedent for this approach (Treynor et al., Reference Treynor, Gonzalez and Nolen-Hoeksema2003), we recognize that a smaller number of items limits construct validity and reliability. And, because we did not collect data on reflection, which involves more adaptive self-focus, we were not able to examine its potentially differential relations to stress exposure (Treynor et al., Reference Treynor, Gonzalez and Nolen-Hoeksema2003). In addition, we recognize there are other risk factors for ruminative brooding (e.g., temperamental negative affectivity, parenting, genetic vulnerability, cognitive control deficits, gender; (Shaw et al., Reference Shaw, Hilt and Starr2019) that likely moderate these associations in important ways and should be examined in future research. Moreover, our sample is considered relatively small for latent profile analysis and is comprised of predominately White, middle-income adolescents with relatively low rates of exposure to stressors. These factors likely affected the dispersion of adolescents across our profiles, resulting in some relatively small profile sizes. These factors also likely impact generalizability of our findings, as identified patterns of stress and their relation to rumination may not generalize to more disadvantaged or marginalized samples. Future research with larger and more diverse sample is necessary. Additionally, although latent profiles were quite distinct, the classify-analyze method used in parts of the analysis are limited because this approach does not retain uncertainty of profile membership. Finally, our list of domains of stressors is not exhaustive; for example, we included only broad event categories for acute stressors (e.g., interpersonal, noninterpersonal), rather than specific or discrete types of life events that may have facilitated more specificity in profile enumeration. Finally, although our measure of stress does provide some information about chronicity, we are not able to draw conclusions about the impact of specific stressor timing on ruminative brooding.
Conclusion
Our study demonstrates the utility of identifying patterns of stress exposure that heighten risk of ruminative brooding. It is the first to apply a person-centered approach with the widely used Life Stress Interview; this approach enables a more holistic picture of individuals’ lives by identifying naturally occurring clusters of stressors within a normative sample of adolescents. Often, when LPAs are performed on fundamentally dimensional variables, they tend to produce profiles that are representative of a spectrum with arbitrary cut-points (classes that have jokingly been described as “mild, medium, and spicy;” see Hallquist & Wright, Reference Hallquist and Wright2014). Our results point to life stress as a rich and fundamentally heterogenous, non-unidimensional construct. They also elucidate patterns of stress exposure that, over time, fuel the consolidation of ruminative brooding into a habitual response style. This aids in the identification of potential targets for developmentally sensitive prevention and intervention efforts.
Supplementary material
The supplementary material for this article can be found at https://doi.org/10.1017/S0954579423000974.
Acknowledgements
We wish to thank Lori Hilt and Heather Adams for their feedback on an earlier version of this manuscript, and Fanny Mlawer, Y. Irina Li, and Meghan Huang for their contributions to data collection. Study funding was provided by the University of Rochester, with additional salary support provided by the National Institute for Child Health and Human Development P50 HD096698.
Competing interests
We report no conflict of interests.




