1. Introduction
This paper presents a cross-linguistic investigation of the use of spatial frames of reference. Specifically it discusses a limitation on the use of intrinsic frames as suggested by the Principle of Canonical Orientation (POCO), proposed by Levelt (Reference Levelt, van Doorn, van de Grind and Koenderink1984, Reference Levelt, Bloom, Peterson, Garrett and Nadel1996). Frames of Reference (FoRs) are cognitive coordinate systems that are projected onto Figures and Grounds (Talmy, Reference Talmy2000) in order to locate and orient them. FoRs are defined by an anchor, which is an entity that introduces a spatial asymmetry from which the axes of the coordinate system are projected or abstracted. The anchor could be a speech act participants (egocentric), the reference or ‘ground’ object (object-centered), or some environmental entity or gradient (geocentric).
In the relative type, the observer’s body axes are projected onto a ground object (or the figure, in orientation descriptions) as in example (1), where ‘right’ reflects the observer’s right. In the intrinsic type, FoRs are derived from the intrinsic axes of the ground object, the reference entity. Thus, example (2) is correct of Figure 1 in an intrinsic frame, but not in a relative one. Finally, in the absolute type, FoRs are abstracted from some environmental feature. This type is independent of the observer’s location as well as the orientation of the ground object, as in example (3) (Bohnemeyer, Reference Bohnemeyer2011). It has been shown that language communities differ in the FoR types used regularly or frequently (e.g., Levinson, Reference Levinson2003).
(1) The ball is right of the chair.
(2) The ball is left of the chair.
(3) The ball is east of the chair.

Fig. 1. E-B&C: picture 6.3.
POCO claims that there is a restriction on the use of intrinsic frames of reference depending on the orientation of the entity that they are derived from. The first approximation predicts that spatial frames of reference can not be anchored to the ground object when the ground object is not canonically oriented. A similar claim was put forth by Garnham (Reference Garnham1985). Most of the evidence in favor of and against POCO has been limited to English and English speakers (Carlson-Radvansky & Irwin, Reference Carlson-Radvansky and Irwin1993, Reference Carlson-Radvansky and Irwin1994; Garnham, Reference Garnham1985; Levelt, Reference Levelt, van Doorn, van de Grind and Koenderink1984, Reference Levelt, Bloom, Peterson, Garrett and Nadel1996; van der Zee & Eshius, Reference van der Zee, Eshius, van der Zee and Slack2003). The first to consider a language other than English were Bohnemeyer and Tucker (Reference Bohnemeyer and Tucker2010) and Tucker et al. (Reference Tucker, Benedicto, Bohnemeyer, Eggleston, Donelson, Capistrán Garza and Romero Mendez2013), where they presented evidence against the universality of POCO from some Mesoamerican languages. The study presented here is the first to cross-linguistically investigate POCO on a larger scale. The main question that this study aims to answer is to what extent speakers of different languages violate the Principle of Canonical Orientation. The central hypothesis of the study is that there is a positive correlation between the use of intrinsic frames in response to canonically oriented stimuli in a given speech community and the extent to which POCO is violated in that community. Reversely, the more speakers use intrinsic frames in reference to non-canonically positioned ground, the more frequently they use intrinsic frames overall.
To answer our question, we analyzed data collected as part of two NSF-funded projects: Spatial language and cognition in Mesoamerica (MesoSpace I) (award No. BCS-0723694) and Spatial language and cognition beyond Mesoamerica (MesoSpace II) (award No. BCS-1053123). The data were collected from speakers of five languages that belong to four different language families – Hijazi Arabic (Afro-Asiatic, Saudi Arabia), K’iche’ (Mayan, Guatemala), Nicaraguan Spanish (Indo-European), Yucatec (Mayan, Mexico), and Zapotec (Oto-Manguean, Mexico) – at minimally five dyads of speakers per language. Participants produced spatial descriptions during a referential communication task in which a ‘director’ described photos so that a partner was able to select the match. We compared the use of intrinsic frames within and across these languages in response to a ground in different orientation (canonical and non-canonical). Our results support two main findings. First, speakers of all languages used intrinsic frames significantly less when the ground object is in non-canonical orientations. Second, we found that adherence to the POCO constraint varies across different language communities. Even though speakers of all languages violate POCO, the frequency of such violations positively correlated with the use of intrinsic frames in response to canonical stimuli. While the first finding supports POCO as a constraint on the use of intrinsic frames, both findings show that Levelt’s categorical statement is inaccurate. Instead, a more accurate statement would refer to the gradual nature of the inhibition of intrinsic use with non-canonical orientation, and to the cross-linguistic variation in the magnitude of this gradual effect.
2. Background
2.1. constraints on the use of intrinsic frames
Would it be possible to describe the ball and chair configuration in Figure 2 as ‘the ball is above the chair’, where the term above here is referring to the intrinsic above/below axis of the chair? Levelt (Reference Levelt, van Doorn, van de Grind and Koenderink1984, Reference Levelt, Bloom, Peterson, Garrett and Nadel1996) and Garnham (Reference Garnham1985) propose that such uses of the intrinsic frames are constrained due to the dis-alignment between the intrinsic axes of the ground and its projected (gravitational) vertical axes, with the latter being used for defining the regions ‘above’ and ‘below’ the object and the directions ‘up’ and ‘down’ with respect to it. Levelt (Reference Levelt, van Doorn, van de Grind and Koenderink1984) proposes POCO, which states that “For the intrinsic system to refer to the reference [ground] object’s intrinsic dimension, that dimension must be in canonical position with respect to the perceptual frame of orientation of the located object [figure]” (p. 345). ‘Canonical position’ can be ascribed to living things and artifacts. Plants and animals are canonically oriented when they are supported against (or suspended from) the pull of gravity in the default manner their bodies evolved to be supported in (or suspended from). For animals, there may be distinct canonical positions for wakefulness and sleep. An artifact can be said to be canonically positioned if it is supported against or suspended from the pull of gravity in a manner for which it was designed.

Fig. 2. O-B&C: picture 1.11
Before going further, it is important to explain what Levelt meant by “perceptual frame of orientation”. Levelt explained it in terms of Figure 3, where Fly 1 and Fly 2 take their perceptual frame of orientation from the person rather than gravity. Thus, it is possible to say that Fly 1 is to the right of the person’s nose or Fly 2 is above the person’s head. In contrast, Fly 3 and the person share the same perceptual frame of orientation taken from the whole scene. Thus, he argues that Fly 3 cannot be described as being above the head of the person.

Fig. 3. Levelt’s principle claims that it is possible for Fly 1 to be described intrinsically as being located to the right of the person’s nose. Unlike Fly 3, Fly 2 can be described as being above the person’s head.
This principle is demonstrated by Figure 4. In the three subfigures, a, b, and c, on the top half of the Figure the intrinsic description The ball is left of the chair is only possible for cases a and c. In terms of case a, the chair is standing in its canonical position; the intrinsic right–left axis of the chair is aligned with the horizontal gravitational plane. In the case of c, while the chair is not necessarily in canonical position, its right–left axis is aligned with the horizontal plane. Unlike in a and c, the left–right axis of the chair in b is not canonically aligned with the horizontal plane (assume that the ball is suspended in the air above the chair in b). Here, there is an alignment between the chair’s intrinsic front–back and vertical (gravitational) dimension. Whenever this alignment occurs, the vertical dimension blocks the use of intrinsic frames.

Fig. 4. Examples of canonical and non-canonical orientation of a ground object (adapted from Levelt, 1984, p. 343)
In the arrays d, e, and f in Figure 4, the ball is on the same plane as the front–back axis of the chair. The intrinsic description The ball is in front of the chair is a possible description of cases d and f but not e (assume that the ball is suspended in the air above the chair in e). While the ground object, the chair, is not in canonical position in both e and f, the front–back axis of the chair is aligned with the horizontal plane only in f. On the other hand, the front–back dimension is not in a canonical, horizontal plane with respect to the perceptual frame in e. Levelt (Reference Levelt, Bloom, Peterson, Garrett and Nadel1996) argues that in this case “the intrinsic system is evaded for a Standard Average European language user” (p. 94). That is, intrinsic frames are blocked as a result of the dis-alignment with the absolute and relative systems. It is important to note that the chair and ball in Figure 4 share the same perceptual frame of orientation, thus POCO is expected to apply.
Similar to Levelt’s POCO, Garnham (Reference Garnham1985) proposes the Framework Vertical Constraint (FVC), which states that “no description of a spatial relation may conflict with the meanings of above and below defined by the framework in which the related objects are located” (p. 52). In other words, the gravitational-based interpretation of above and below blocks all other interpretations. This means that the ground object could not itself become the perceptual frame of orientation for the assignment of the terms above or below. Thus, for Garnham, the constraints on the use of intrinsic frames are explained in terms of their conflict with the vertical axes rather than the perceptual frame of orientation. In terms of the Fly 1 and Fly 2 cases in Figure 3, he argued that an intrinsic description is doubtfully acceptable. Most important for us here is that both authors argued that intrinsic descriptions for cases such as b and d in Figure 4 are inappropriate, and thus are not produced by speakers. This claim has been refuted in several studies (Bohnemeyer & Tucker, Reference Bohnemeyer and Tucker2010; Carlson-Radvansky & Irwin, Reference Carlson-Radvansky and Irwin1993, Reference Carlson-Radvansky and Irwin1994; Tucker, Reference Tucker2013; Tucker et al., Reference Tucker, Benedicto, Bohnemeyer, Eggleston, Donelson, Capistrán Garza and Romero Mendez2013; Walker, Reference Walker2010).
Carlson-Radvansky and Irwin (Reference Carlson-Radvansky and Irwin1993, Reference Carlson-Radvansky and Irwin1994) ran production and comprehension experiments where they tested for the use of the vertical axes when all frame types are aligned as well as isolated. The three basic reference frame types (in terms of the types relevant to Carlson-Radvansky and Irwin’s experiments: intrinsic, relative, and absolute) are said to be ‘aligned’ with respect to a given stimulus configuration and description if the description is true of the configuration in all three frame types. If a description is true of a stimulus configuration under just one frame type, that frame type is said to be ‘isolated’ by that description with respect to the configuration. They isolated the intrinsic frames by having the ground object, a chair, laying on its back, and the relative frames by having the participants lay on their sides during the experiments. Carlson-Radvansky and Irwin found that the use of above is more frequent when all vertical axes (absolute, intrinsic, and relative) are aligned. When isolating the relative vertical, the use of gravitational/intrinsic vertical is found to be as frequent as in the previous case, which indicates that the relative vertical has little influence on the assignment of above. Most importantly, they found that when the intrinsic vertical is isolated (specifically where the ground object was laying on its back and participants were sitting upright), intrinsic above was used 30% of the time as compared to 63% use of absolute/relative vertical. This use of the intrinsic vertical is significantly greater than zero. These results in turn provide evidence disproving Levelt’s categorical formulation of POCO as well as FVC. Finally, the isolated absolute vertical was used 76% of the time, indicating that the absolute vertical plays the strongest role in the assignments of the vertical frames. Walker (Reference Walker2010) ran experiments on the intrinsic assignment with moving as well as static figure and ground objects with 24 English speakers. Specifically, her stimuli consisted of a helicopter as the ground and a cannon ball as the figure in 52 unique combinations. The participants were individually presented with the stimuli on computer screen. Her results showed no evidence for the operation of POCO and FVC.
Bohnemeyer and Tucker (Reference Bohnemeyer and Tucker2010) and Tucker (Reference Tucker2013) are the first studies to test POCO in a non-European language. Their stimuli consisted of 48 ball and chair combinations, 11 of which allowed for POCO investigation. The task was the same as the one used in this study (please refer to Section 3 below). They found that Yucatec speakers use intrinsic frames 20% of the time in situations where POCO would predict otherwise. In the same situations, English speakers only violate POCO 4% of the time. They explained this difference between Yucatec and English speakers in terms of the overall use of intrinsic frames: Yucatec speakers generally use intrinsic frames significantly more than English speakers, 56% and 22%, respectively. These studies suggest that POCO may be language-specific. Tucker’s (2013) results additionally showed that Yucatec speakers violate POCO more frequently than English speakers, but that the difference was not significant. The study suggested the need for more data. Tucker et al. (Reference Tucker, Benedicto, Bohnemeyer, Eggleston, Donelson, Capistrán Garza and Romero Mendez2013) compared violations of POCO across 11 languages varieties mostly from the Mesoamerican region: Yucatec (Maya, Mexico), Ayutla Mixe (Oto-Manguean, Mexico), San Ildefonso Tultepec Otomí (Oto-Manguean, Mexico), Purépecha (Isolate, Mexico), Chacoma Tseltal (Maya, Mexico), Zapotec (Oto-Manguean, Mexico), Seri (Isolate, Mexico), Sumu-Mayangna (Misumalpan, Nicaragua), and three Spanish (Indo-European) varieties spoken in Barcelona, Mexico, and Nicaragua. This study found that speech communities differ significantly in their propensity to violate POCO. However, the study did not look at the possibility of a correlation between canonical intrinsic use and frequency of POCO violation. Additionally, only a small set of the stimuli used in that study actually featured ground objects in non-canonical positions in such a way as to allow for testing of POCO violation. The study presented here overcomes the limitation of the earlier studies by using a bigger set of stimuli that would allow for testing of POCO use across languages.
2.2. dynamic intrinsic
Tucker (Reference Tucker2013) noted what she called ‘dynamic’ intrinsic uses, where participants avoided using intrinsic vertical relators (above, below) when locating objects with respect to non-canonically positioned ground objects. Instead, participants appeared to interpret the stimuli dynamically. The following examples illustrate with descriptions drawn from the dataset of the present study. For example, some participants described the ball–chair configuration in Figure 5, where the chair is in non-canonical orientation and the ball is intrinsically ‘above’ the chair, by using horizontal relators (e.g., in front of, right of) rather than vertical realtors as in examples (4)–(6) below:Footnote 1
(4) Chan=táan-il ti’ (Yucatec)
dim=front-rel prep
‘(the ball is) in front of (the chair)’ (Tucker, Reference Tucker2013, p. 13)
(5) El-kora guddaːm el-kursiː ʕla el-jasaːr (Arabic)
det-ball in front of det-chair on det-left
‘The ball is in front of the chair to the left.’
(6) Lee jun pelota ch-u-wach k’oo wi chwa
det one ball prep-3spos-face exist loc in.front.of
lu jalom naj k’oo wi (K’iche’)
det head far exist loc
‘The ball is in front, in front of the head, it is far.’

Fig. 5. A non-canonically oriented chair (E-B&C: picture 5.8)
In Figure 5, the region that is intrinsically in front of this non-canonically positioned chair is the floor. However, as shown in examples (4)–(6) above, speakers of different languages use horizontal relators to designate the region to the left of the picture in Figure 5. Thus, speakers seem be interpreting the scene dynamically, where the chair is seen as having fallen from a canonical position. For example, participants used ‘tipped over’, ‘falling forward’, and ‘pushed on the ground’. Other evidence from discourse suggests that speakers view scenes of the non-canonically oriented chairs as dynamic events rather than static situations. These kinds of descriptions of Figure 5 do not violate POCO since they do not use vertical relators (e.g., the ball is above the chair).
3. Methodology
To study the use of spatial frames of reference in discourse, Referential Communication Tasks are used in order to control the content of the discourse. In such tasks, dyads of participants, a ‘director’ and a ‘matcher’, are presented with stimuli (e.g., pictures, videos, etc.) that the director instructs the matcher to perform actions on. Meanwhile, a screen is preventing the participants from sharing a visual field, forcing the director to use referentially explicit verbal descriptions of the stimuli (Clark & Wilkes-Gibbes, Reference Clark and Wilkes-Gibbes1986). These tasks have two characteristics that make them particularly valuable for eliciting the use of reference frames. First, they provide realistic communicative situations where one participant must make information available to another participant, who cannot gain that information from any other source. Second, since they are highly structured, they allow the researcher to control both the nature of the barrier between the participants and the kind of verbal response required for successfully completing the tasks (Leinonen & Letts, Reference Leinonen and Letts1997).
This study uses the Ball and Chair (B&C) stimuli, which are part of the referential communication tasks developed by the MesoSpace project (Bohnemeyer, Reference Bohnemeyer and Pérez Báez2008). These stimuli consist of two subsets; Original Ball and Chair (O-B&C) and Extended Ball and Chair (E-B&C) (Tucker, Reference Tucker2013). The O-B&C stimuli comprise four sets of photographs and the E-B&C stimuli three sets, at twelve photos per set. The photographs feature a ball and a chair in different spatial configurations (e.g., Figures 1 and 4). To complete this task, two participants per trial are seated side by side facing in the same direction towards the researcher with a screen between them. The screen is to prevent them from seeing each other’s set of stimuli. They are provided with identical copies of the same B&C sets spread out on a table in front of them in different orders as shown in Figure 6. Between trials, the participants swapped the roles of director and matcher. The director’s task is to describe the spatial configuration of the ball and chair in the pictures, one by one, and the matcher tries to find each picture’s match in their set on their side of the screen. The matcher is free to inquire for clarification before picking a match. When the matcher proposes a match, the two participants show the researcher the back of the photos, which has the ID number of the photos. Both participants then put back the photos with the director marking the already matched photos by placing a coin on it before moving to the next. The two participants exchange roles of directing and matching for the seven sets, resulting in one of the speakers being the director in four of the sets and the matcher in three, and vice versa for the other speaker.

Fig. 6. Set-up of the B&C referential communication task
As mentioned above, O-B&C stimuli comprise four sets of 12 photos, totaling 48 photos. Only about 15% (seven photos) of these stimuli comprise configurations that could afford intrinsic descriptions violating POCO (such as picture e in Figure 4). These photos are referred to as non-canonical photos for the rest of this paper. To increase the number of these photos, Tucker designed the E-B&C stimuli (Tucker, Reference Tucker2013). These stimuli contain an additional 18 photos featuring the chair in non-canonical disposition. Table 1 provides a summary of the two versions of the B&C stimuli.
table 1. Features of the Original and Extended B&C stimuli

4. Data and coding
The data for the study were collected between 2008 and 2016 from speakers of five languages: Hijazi Arabic, K’iche’ and Yucatec Maya, Nicaraguan Spanish, and Juchitán (i.e., Isthmus) Zapotec. Hijazi Arabic is a dialect of Arabic, an Afro-Asiatic language, spoken in the western provinces of Saudi Arabia along the coast of the Red Sea, specifically Makkah and Madina provinces. The dialect is classified as a subdialect of Gulf Arabic spoken in the Arabian Peninsula. Hijazi Arabic has over 6 million speakers, most of whom are urban but some are Bedouin living in rural areas in the highland adjacent to the coast of the Red Sea (Versteegh Reference Versteegh2014). All of the Hijazi participants in this study were from the urban majority.
Our second language is K’iche’, a Mayan language spoken in the central highland of Guatemala. It is the second most spoken language in Guatemala after Spanish with over 2 million speakers (according to ethnologue.com). The data were collected from two small towns, Zunil and Cantel, located within 9 miles of Quetzaltenango city, the capital of Quetzaltenango municipality. The third language of the study is Nicaraguan Spanish, an Indo-European language spoken in Nicaragua by over 5 million people. The data were collected in Rosita, a municipality in the North Caribbean Autonomous Region of Nicaragua. Yucatec, a language of the Yucatecan branch of the Mayan language family, is our fourth. It is spoken across much of the Yucatan Peninsula, in the Mexican states of Campeche, Quintana Roo, and Yucatán, and the northwestern districts of Cayo, Corozal, and Orange Walk of Belize. All contemporary varieties of Yucatec are readily mutually intelligible. The data from Yucatec were collected in Yaxley, a village of approximately 600 people in central Quintana Roo, Mexico. The fifth and final language is Juchitán Zapotec, an Otomanguean language spoken in and around Juchitán de Zaragoza in Oaxaca, Mexico. It is spoken by as many as 40,000 across the municipality of Juchitán. The data were collected in a small town within the municipality called La Ventosa (INEGI, 2005, as cited in Pérez Báez, Reference Pérez Báez2011).
At least five dyads of speakers from each language community participated in the study (see Table 2). The data consist of spatial descriptions of the B&C photos described above. The collected data were transcribed and coded by the researchers listed in Table 2. These verbal descriptions were coded for six categories: (1) disposition of the chair (e.g., ‘standing’, ‘lying on its back’); (2) orientation of the chair in the horizontal; (3) location of the chair in the picture; (4) disposition of the ball (whether it is supported from underneath or suspended (on an invisible string)); (5) location of the ball in relation to the chair; (6) and location of the ball in the picture. Only descriptions of the location of the ball in relation to the chair are analyzed in the present study. These descriptions are assigned one or more of nine FoR strategies: relative (REL), direct (DIR), intrinsic (INT), landmark-based (LAND), absolute (ABS), dis-aligned vertical (VERT), intrinsic-vertical aligned (IV), intrinsic-relative aligned (IR), and topological (TOPO) (see O’Meara & Pérez Báez, Reference O’Meara and Pérez Báez2011, for more details). Only descriptions produced by the director were coded. In this study we are mostly concerned with descriptions coded as relying on intrinsic FoRs.
table 2. Information about the languages and participants in the study

5. Analysis and results
In this section, results pertaining to intrinsic frame use with respect to POCO are presented for each language. We then compare these results for the purpose of determining whether the frequency of violations of POCO significantly differs from one language to another, as well as testing the correlation between overall intrinsic use in a given population and the incidence of POCO violations. Finally, we look into other strategies speakers resort to in order to compensate for the effect of the POCO on the use of intrinsic frames.
5.1. fors use in the languages of the current study
Table 3 compares populations in terms of their top three most frequently used frame types in the Ball & Chair task. It shows that intrinsic frames are either the most frequent or second most frequent frame strategy used by speakers of all languages in the study. However, there is considerable variation between these languages in terms of overall use of intrinsic frames, which ranges between 20% and 41%. Hijazi Arabic, K’iche’, and Yucatec show strikingly similar levels of intrinsic use (39%, 41%, and 41%, respectively). Intrinsic use in Spanish and Juchitán Zapotec, on the other hand, was much less frequent (20% and 25%, respectively). This means that all languages in the study used intrinsic frames at least 20% of the time. This is not true of any other frame type. Thus, we predict that Arabic, K’iche’, and Yucatec speakers violate POCO more frequently than speakers of Zapotec and Spanish, since the former populations use intrinsic frames more frequently overall than the latter ones.
table 3. Three most frequent frame strategies used in the B&C experiments

note: ABS = Absolute INT = intrinsic, REL = relative, VER = vertical.
5.2. use of intrinsic frames within languages
Now we look at results pertaining to intrinsic use in responses to canonical and non-canonical pictures. In all five languages, we found that the use of intrinsic frames decreases when the ground object, the chair in our case, is non-canonically oriented. This decrease is expected, as suggested by the results of previous research (e.g., Carlson-Radvansky & Irwin, Reference Carlson-Radvansky and Irwin1993). However, we are interested here in whether this difference is significant or not in each of the languages.
Table 4 shows that participants from all five languages use intrinsic frames in responses to both canonical and non-canonical pictures. In Hijazi Arabic, participants used intrinsic frames in 44% of the trials involving canonical pictures, as opposed to 7% intrinsic use in trials involving non-canonical pictures. Thus, there is a 37% reduction going from canonical to non-canonical pictures. Similarly, K’iche’ and Yucatec speakers used intrinsic frames about 45% and 41% of the time, respectively, in response to canonical pictures and 16% and 18% of the time, respectively, in response to non-canonical pictures. There is a 29% and 23% decrease in K’iche’ and Yucatec, respectively. Finally, Spanish and Juchitán Zapotec speakers use intrinsic frames about 24% and 27% of the time, respectively, in trials involving canonical pictures, as opposed to 1% and 2%, respectively, in trials involving non-canonical pictures. We compared these differences within each language using Fisher’s Exact Test and found them all to be significant (see Table 4). Finally, if we compare the use of intrinsic frames with canonical and non-canonical pictures in all the languages taken together (see last row of Table 4), we find that intrinsic frames are used significantly less. Again, this confirms POCO as a constraint on the use of intrinsic frames.
table 4. Intrinsic frame use in response to canonical and non-canonical pictures

It is important to note that the raw results in Table 4 (see also Figure 7 for visual comparison) show that K’iche’ and Yucatec, both of which are Mayan languages, use intrinsic frames similarly across the two types of pictures. Arabic resembles the two Mayan languages only when the ground object is in canonical orientation. Spanish and Juchitán Zapotec speakers used intrinsic frames much less than the other languages in response to both canonical and non-canonical pictures.

Fig. 7. Use of intrinsic frames across stimulus type (canonical (C) vs. non-canonical (NC)) in each language (Error bars are based on confidence intervals)
Also noteworthy regarding the results in Table 4 is the effect of non-canonical orientation as shown by the percentage of decrease in the fourth column. Excluding Arabic, it seems that the effect of non-canonical orientation on the frequency of intrinsic use is comparable. To test this effect, we ran a repeated-measure ANOVA and found a significant effect of the interaction between language and canonicity (P < .001, Fisher’s Exact Test). However, this significant interaction disappeared when excluding the Arabic data (P > .05, Fisher’s Exact Test). This means that there is a possibility that the effect of the non-canonical orientation of the ground object on intrinsic use is language-independent (see the following section for more discussion).
5.3. POCO violations across languages
The results in Section 5.2 show that there exists some POCO violations in all of the languages of the study as well as a possible canonicity effect that is constant across languages. While the fact that there is some intrinsic use with non-canonically oriented grounds goes against what is predicted by the categorical formulation of POCO in Levelt (Reference Levelt, van Doorn, van de Grind and Koenderink1984, Reference Levelt, Bloom, Peterson, Garrett and Nadel1996), we wish to investigate the extent to which POCO is violated cross-linguistically. That is, we would like to know whether languages differ in terms of violating POCO. As mentioned above, our prediction is that the use of intrinsic frames with canonical grounds predicts the frequency of POCO violations. Language communities that use intrinsic frames abundantly are more likely to be found to violate POCO than other communities that do not use intrinsic frames as much. In order to test this hypothesis, a logistic mixed effects regression model was fitted, using the lme4 package in R. We treated intrinsic use (coded binarily, ‘0’/‘1’) as the dependent variable. Fixed factors included language (five levels: Hijazi Arabic, K’iche’, Nicaraguan Spanish, Yucatec, and Juchitán Zapotec) and a scaled factor representing the use of intrinsic frames with canonical stimuli for each speaker. A random intercept was added for picture ID (formula: intrinsic ∼ language + intrinsicUse + (1 | pictureID)). Only responses to non-canonical stimuli were included in the model.
Table 5 summarizes the effects. It shows that there are some significant differences of intrinsic frame use with non-canonical pictures between languages in the study. Specifically, Hijazi Arabic speakers use intrinsic frames significantly less than K’iche’ and Yucatec speakers but not significantly less than Nicaraguan Spanish and Juchitán Zapotec speakers. Most importantly, it shows that the canonical use of intrinsic frames is a good predictor of intrinsic use in the non-canonical data. This confirms our hypothesis that the frequency of POCO violations is predicted by the frequency of intrinsic frame use in the canonical data.
table 5. Significant factors in the mixed-effect logistic regression model. The second column represents coefficients

note: NON = non-canonical stimuli (sig. codes 0 ‘***’ 0.001 ‘**’ 0.01 ‘*’ 0.05).
5.4. fors use with non-canonically oriented grounds
As seen above, there is at least a 23% decrease in the use of intrinsic frames with non-canonically oriented grounds. The question now is what other frames speakers resorted to in place of the intrinsic frames. Our expectation was that we would see an increase in the use of other dominant frames in each language. For example, we expected the use of relative frames to increase in the Arabic responses to non-canonically oriented grounds since the relative frame type is the second most frequently used frame type after the intrinsic one, as shown in Table 3. Similarly, relative frame use was expected to increase in frequency in Spanish, as the relative type is the most frequently used frame type in this speech community as well, with about 40% of stimuli (canonical and non-canonical) receiving relative descriptions. However, our results show that there is no significant increase/decrease in the use of frames other than those of the intrinsic type across stimulus types.
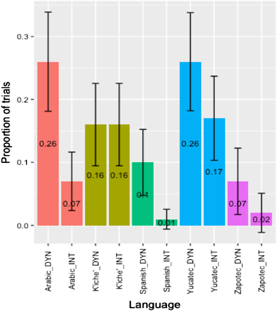
However, when taking into consideration the contract between the static and dynamic use of intrinsic frames, we find that the use of dynamic type is at least as frequent as the use of the static one in the non-canonical data. In Arabic and Spanish, the dynamic use of intrinsic frames is in fact significantly more frequent than the static one in response to non-canonically oriented grounds (P < .001 and P < .01, respectively, Fisher’s Exact Test). Specifically, Arabic and Spanish speakers used the dynamic subtype in 40% and 12%, respectively, of their responses as opposed to 7% and 1% for the static subtype. The differences are not significant in the other languages; however, they might increase with more data (see Figure 8 for visual comparison). These results indicate that intrinsic use persists even with non-canonically oriented grounds. Rather than switching to other frame types, participants resort to interpreting the scene dynamically in order to accommodate intrinsic frame use.

Fig. 8. Dynamic (DYN) vs. static (INT) use of intrinsic frames with non-canonically oriented grounds in the B&C data in each language (error bars are based on confidence intervals)
6. Discussion and concluding remarks
Our main question was whether the effect of non-canonically oriented grounds on intrinsic reference frame use is the same cross-linguistically. To answer this question, we presented data based on a referential communication task in five languages from four different language families. We hypothesized that the degree to which the Principle of Canonical Orientation (POCO) is violated in a language is correlated with its overall canonical intrinsic use in that language. Thus, we predicted that the effect of POCO would be different from one language to another. The study presented here is the first cross-linguistic experimental study, that we are aware of, on POCO violability.
First, our results indicate that POCO is not an absolute constraint, as seems to be suggested by Levelt (Reference Levelt, van Doorn, van de Grind and Koenderink1984, Reference Levelt, Bloom, Peterson, Garrett and Nadel1996). All languages in this study show some use of intrinsic frames in response to pictures where POCO would predict otherwise. These results confirm earlier findings reported by Carlson-Radvansky and Irwin (Reference Carlson-Radvansky and Irwin1993, Reference Carlson-Radvansky and Irwin1994) and Bohnemeyer and Tucker (Reference Bohnemeyer and Tucker2010), where English and Yucatec speakers are found to violate POCO. Our results suggest that POCO is a gradual constraint rather than a categorical one. However, we see that in all languages of the study there is at least a 23% decrease in the use of intrinsic frames in responses to non-canonically oriented grounds as opposed to canonically oriented ones. This suggests that POCO does have an effect. We also found that there are some significant differences between languages in terms of the frequency of POCO violations.
An important question is whether POCO violation is language-specific or language-independent. If the ratio of reduction in frame use from canonically oriented to non-canonically oriented grounds is fixed, this suggests that the effect of (non-)canonicity across languages is the same (a language-independent effect). One possible explanation for this uniform reduction rate might be some kind of mechanism which effects the same inhibition of intrinsic use cross-linguistically, where the inhibition of the overall volume of intrinsic use is a constant ratio independent of language. So if a population uses intrinsic frames more frequently overall, they also use such frames more frequently with non-canonically oriented grounds, and thus violate POCO more frequently. Another possibility is that the frequency of canonical intrinsic use is actually a causal factor, which is to say that using intrinsic frames more frequently causes the speaker to think differently about the scene that they are looking at. In other words, using intrinsic frames more frequently makes the speaker more likely to use them in non-canonical orientations as well, possibly a ‘thinking-for-speaking’ effect (Slobin, Reference Slobin1987).
Given the rate of reduction (Table 4), it is tempting to say that there is a constant factor. In this case, the level of canonical intrinsic use proportionally determines the level of non-canonical use; the reduction is constant across languages with the exception of Arabic. The results are not entirely clear, since without excluding Arabic from the picture there is a significant interaction between language and canonicity. It looks like the reduction is relatively uniform across languages except for Arabic, where the reduction is steeper compared to other languages. This allows for the possibility for deep language specificity. However, the question remains: Is the whole effect just proportional to canonical intrinsic use or are there other additional quantitative differences? The results pertaining to Arabic are not what we originally expected. We assumed that if there are strong quantitative differences, Mesoamerican languages would differ most strongly from European languages such as Spanish. Resolving this issue will be a matter for future research.